ГОСТ ISO 17718-2015
МЕЖГОСУДАРСТВЕННЫЙ СТАНДАРТ
ЗЕРНО И МУКА ИЗ МЯГКОЙ ПШЕНИЦЫ
Определение реологических свойств теста в зависимости от условий замеса и повышения температуры
Wholemeal and flour from common wheat. Determination of rheological behavior as a function of mixing and temperature increase
МКС 67.060
Дата введения 2016-07-01
Предисловие
Цели, основные принципы и основной порядок проведения работ по межгосударственной стандартизации установлены ГОСТ 1.0-92 "Межгосударственная система стандартизации. Основные положения" и ГОСТ 1.2-2009 "Межгосударственная система стандартизации. Стандарты межгосударственные, правила и рекомендации по межгосударственной стандартизации. Правила разработки, принятия, применения, обновления и отмены"
Сведения о стандарте
1 ПОДГОТОВЛЕН Открытым акционерным обществом "Всероссийский научно-исследовательский институт сертификации" (ОАО "ВНИИС") на основе собственного аутентичного перевода на русский язык международного стандарта, указанного в пункте 5
2 ВНЕСЕН Федеральным агентством по техническому регулированию и метрологии (Росстандарт)
3 ПРИНЯТ Межгосударственным советом по стандартизации, метрологии и сертификации (протокол от 18 июня 2015 г. N 47)
За принятие проголосовали:
Краткое наименование страны по МК (ИСО 3166) 004-97 | Код страны по | Сокращенное наименование национального органа по стандартизации |
Армения | AM | Минэкономики Республики Армения |
Беларусь | BY | Госстандарт Республики Беларусь |
Казахстан | KZ | Госстандарт Республики Казахстан |
Киргизия | KG | Кыргызстандарт |
Россия | RU | Росстандарт |
Таджикистан | TJ | Таджикстандарт |
4 Приказом Федерального агентства по техническому регулированию и метрологии от 24 июля 2015 г. N 985-ст межгосударственный стандарт ГОСТ ISO 17718-2015 введен в действие в качестве национального стандарта Российской Федерации с 1 июля 2016 г.
5 Настоящий стандарт идентичен международному стандарту ISO 17718:2013* Wholemeal and flour from wheat (Triticum aestivum L.) - Determination of rheological behavior as a function of mixing and temperature increase (Зерно и мука из пшеницы (Triticum aestivum L). Определение реологического поведения в зависимости от условий замеса и повышения температуры).
________________
* Доступ к международным и зарубежным документам, упомянутым в тексте, можно получить, обратившись в Службу поддержки пользователей. - .
Международный стандарт разработан подкомитетом SC 4 "Зерновые и бобовые культуры" технического комитета по стандартизации ISO/TC 34 "Пищевые продукты" Международной организации по стандартизации (ISO).
Перевод с английского языка (en).
Официальные экземпляры международного стандарта, на основе которого подготовлен настоящий межгосударственный стандарт, и международных стандартов, на которые даны ссылки, имеются в Федеральном агентстве по техническому регулированию и метрологии.
Наименование настоящего стандарта изменено относительно наименования международного стандарта в связи с особенностями построения межгосударственной системы стандартизации.
Сведения о соответствии межгосударственных стандартов ссылочным международным стандартам приведены в дополнительном приложении ДА.
Степень соответствия - идентичная (IDT)
6 ВВЕДЕН ВПЕРВЫЕ
Информация об изменениях к настоящему стандарту публикуется в ежегодном информационном указателе "Национальные стандарты", а текст изменений и поправок - в ежемесячном информационном указателе "Национальные стандарты". В случае пересмотра (замены) или отмены настоящего стандарта соответствующее уведомление будет опубликовано в ежемесячном информационном указателе "Национальные стандарты". Соответствующая информация, уведомление и тексты размещаются также в информационной системе общего пользования - на официальном сайте Федерального агентства по техническому регулированию и метрологии в сети Интернет
Введение
Свойства теста зависят от множества характеристик. Некоторые из этих характеристик, такие как водопоглощение, время образования теста, стабильность теста при замесе, обусловлены качеством и количеством белка, в то время как другие характеристики, такие как клейстеризация, устойчивость к затвердеванию и ретроградация, обусловлены свойствами крахмала.
При помощи прибора "Миксолаб" измеряют момент силы между двумя лопастями тестомесилки во время замеса, изменяя температуру внутри чаши, что позволяет получить подробную информацию о пробах, характеризующих анализируемую пшеницу или муку.
1 Область применения
Настоящий стандарт устанавливает метод определения реологических свойств теста в зависимости от условий замеса и повышения температуры. Данный метод применяют для проб размолотого зерна и муки из мягкой пшеницы (Triticum aestivum L.), размолотой в лаборатории или на производстве.
Примечание - Допускается осуществлять помол пшеницы в лаборатории в соответствии с методами, изложенными в [5] или в методическом документе [7].
2 Нормативные ссылки
Для применения настоящего стандарта необходимы следующие ссылочные документы. Для недатированных ссылок применяют последнее издание ссылочного документа (включая все его изменения).
ISO 712 Cereals and cereal products. Determination of moisture content. Reference method (Зерновые и продукты из них. Определение содержания влаги. Контрольный метод)
3 Термины и определения
В настоящем стандарте используют следующие термины с соответствующими определениями:
3.1 водопоглощение (water absorption): Объем воды, необходимый для образования теста консистенции, создающей максимальный момент силы, равный (1,10±0,05) Н·м.
Примечание - Водопоглощение выражается в миллилитрах на 100 г муки с влажностью 14%(по массе).
3.2 время (time) : Время, необходимое для образования теста с заданной консистенцией, создающей момент силы
, равный (1,10±0,05) Н·м.
Примечание - Время выражается в минутах.
3.3 стабильность (stability): Рассчитанное время, при котором тесто достигает консистенции, создающей момент силы выше, чем -11%·
.
4 Сущность метода
Реологические свойства теста определяют с помощью комбинированного замеса в условиях воздействия постоянной температурной фазы, следующей за стадией нагрева, выдерживания при высокой температуре и последующего охлаждения. Воду добавляют к муке до достижения консистенции теста, создающей максимальный момент силы, равный (1,10±0,05) Н·м, в условиях первой постоянной температурной фазы.
Первый замес теста осуществляют между двумя лопастями тестомесилки, вращающимися в противоположных направлениях со скоростью 80 об/мин, при этом начальная температура составляет 30°С. Момент силы, который тесто создает между лопастями тестомесилки, регистрируют. Замес теста продолжается, в то время как температура увеличивается до 90°С со скоростью 4°С/мин. Температуру поддерживают на уровне 90°С в течение 15 мин. Затем тестомесилку охлаждают со скоростью 4°С/мин до температуры 50°С.
Значение момента силы теста, а также температуру записывают в течение всего процесса испытания. Результаты испытаний характеризуют качество клейковины, клейстеризацию и ретроградацию крахмала, ферментную активность и все взаимодействия, происходящие между компонентами теста в течение замеса.
5 Реактивы
Используют только дистиллированную или деминерализованную воду либо воду эквивалентной чистоты.
6 Оборудование
Используют обычное лабораторное оборудование, в частности следующее:
6.1 Chopin Миксолаб®, включающий приведенные составные части.
_______________
Chopin Mixolab® - это торговое наименование продукции, поставляемой Chopin Technologies. Эта информация приведена для удобства пользования настоящим стандартом и не означает рекламу данной продукции. Допускается использовать аналогичное оборудование, если оно обеспечивает получение сопоставимых результатов.
6.1.1 Двигатель приводной, способный обеспечивать скорость вращения месильных лопастей на уровне 80 об/мин.
6.1.2 Емкость для воды, заполняемая водой (раздел 5), температуру которой поддерживают постоянной на уровне 30°С.
6.1.3 Тестомесилка, включающая чашу, два фланца втулки и две съемные месильные лопасти.
6.1.4 Крышка съемная для установки насадки для добавления воды.
6.1.5 Насадка для добавления воды, имеющая четыре напорных канала.
6.1.6 Обеспечение программное для программирования условий испытания, измерений и регистрации результатов.
6.2 Весы лабораторные с точностью взвешивания ±0,1 г.
6.3 Мельница лабораторная типа молотковой дробилки с ситом, размер отверстий которого 0,8 мм, способная размалывать зерно в частицы определенного однородного размера.
_______________
Мельницы LM 3100 и LM 120 - это пример коммерчески доступной продукции. Данная информация приведена для удобства пользования настоящим стандартом и не означает рекламу данного оборудования. Допускается использовать аналогичное оборудование, если оно обеспечивает получение сопоставимых результатов.
Производительность мельницы проверяют через равные интервалы времени на пробе размолотого зерна. Размолотая проба должна удовлетворять условиям, приведенным в таблице 1.
Таблица 1
Размер отверстий сита, мкм | Доля размолотого зерна пшеницы, прошедшая через сито, % |
710 | 100 |
500 | 95-100 |
210-200 |
|
7 Отбор проб
Отбор проб не является частью метода, установленного в настоящем стандарте. Рекомендуемый метод отбора проб приведен в [4].
В лабораторию доставляют представительную пробу, которая не была повреждена или изменена в процессе транспортирования или хранения.
8 Методика проведения испытания
8.1 Общие положения
В целях применения настоящего стандарта для размолотого зерна предусмотрена стадия измельчения.
Если проба состоит из муки, испытание начинают с 8.3.
8.2 Измельчение пробы
На лабораторной мельнице (6.3) размалывают 200-300 г очищенных зерен в соответствии с инструкцией производителя мельницы.
8.3 Определение содержания влаги в муке
Определение содержания влаги в муке или размолотой пробе проводят в соответствии с ISO 712.
8.4 Подготовка прибора
Необходимо убедиться в том, что насадка для добавления воды установлена выше емкости для воды.
Включают "Миксолаб" (6.1) за 30 мин до проведения испытания.
Используют датчик измерения уровня воды для проверки достаточного количества воды (раздел 5) в емкости (6.1.2).
Необходимо убедиться в том, что чаша, фланцы втулки и месильные лопасти надежно соединены в тестомесилке (6.1.3).
Закрывают съемную крышку (6.1.4).
8.5 Проведение испытания
8.5.1 Общие положения
Проведение испытания включает в себя две стадии:
a) определение водопоглощения муки или размолотого зерна;
b) определение реологических характеристик муки или размолотого зерна.
8.5.2 Определение водопоглощения
8.5.2.1 С помощью программного обеспечения (6.1.6) выбирают режим для проведения испытания: Chopin+ для муки и Chopin Wheat+ для размолотого зерна.
8.5.2.2 С помощью программного обеспечения (6.1.6) устанавливают условия проведения испытания с заданной влажностью муки (8.3) и значение гидратации на уровне 55% (исходное значение 14% устанавливается автоматически).
8.5.2.3 Используют лабораторные весы (6.2) для взвешивания определенного количества муки, установленного прибором (6.1.6).
8.5.2.4 Начинают испытание, взвешенную муку переносят в тестомесилку (6.1.3).
8.5.2.5 Располагают насадку для добавления воды (6.1.5) выше крышки тестомесилки. Перед тем как расположить насадку, проверяют готовность к запуску программного обеспечения (6.1.6).
8.5.2.6 Когда кривая достигнет своего пика и появится знак "кривая вниз", испытание останавливают и регистрируют полученное значение .
Если максимальный момент силы достигает значения (1,10±0,05) Н·м, кривую достраивают в течение 45 мин.
8.5.2.7 Снимают насадку для добавления воды со съемной крышки (6.1.4) и располагают выше емкости с водой (6.1.2).
8.5.2.8 Снимают чашу тестомесилки, месильные лопасти (6.1.3) и очищают.
8.5.2.9 Снова собирают тестомесилку и повторно подключают к "Миксолабу".
8.5.3 Полный цикл испытания
8.5.3.1 С помощью программного обеспечения (6.1.6) выбирают режим для проведения испытания: Chopin+ для муки и Chopin Wheat+ для размолотого зерна.
8.5.3.2 С помощью программного обеспечения (6.1.6) определяют условия испытания с установленным значением гидратации, использованным в предыдущем испытании (8.5.2), значением влажности в пробе по 8.3 и значением момента силы , полученным в предыдущем испытании (8.5.2).
8.5.3.3 Используют лабораторные весы (6.2) для взвешивания количества муки, установленного прибором (6.1.6).
8.5.3.4 Начинают испытание, взвешенную муку переносят в тестомесилку (6.1.3).
8.5.3.5 Располагают насадку для добавления воды (6.1.5) выше крышки тестомесилки. Необходимо дождаться готовности оборудования к запуску программного обеспечения (6.1.6), перед тем как располагать насадку.
8.5.3.6 Контролируют свойства теста на протяжении первых нескольких минут испытания.
Если максимальный момент силы достигает (1,10±0,05) Н·м, кривую достраивают в течение 45 мин, если максимальный момент силы
не достигает (1,10±0,05) Н·м, останавливают испытание, регистрируют полученное значение
и начинают испытание с 8.5.2.6.
8.5.3.7 Перемещают насадку для добавления воды из съемной крышки (6.1.4) и располагают выше емкости с водой (6.1.2).
8.5.3.8 Снимают чашу тестомесилки, лопасти тестомесилки (6.1.3) и очищают.
8.5.4 Регистрация параметров испытания
8.5.4.1 Измерение точек водопоглощения
- первое максимальное полученное значение момента силы теста. Оно должно находиться в диапазоне 1,05-1,15 Н·м.
8.5.4.2 Параметры, характеризующие свойства теста
- минимальное значение момента силы теста, полученное в течение развития кривой и соответствующее нижней точке на кривой после
при увеличении температуры внутри чаши тестомесилки.
- максимальное значение момента силы теста, полученное после клейстеризации крахмала, соответствующее максимуму, достигнутому после точки
, или, в отсутствие пиков, значение консистенции в конце температурной фазы в 90°С. Точка
обусловлена процессом набухания гранул крахмала в результате нагрева.
- минимальное значение момента силы теста, полученное после клейстеризации крахмала, соответствующее минимуму, достигнутому после точки
, в течение периода замеса при температуре 90°С. Данное минимальное значение может быть рассчитано, если оно достигает 89% от значения
.
- окончательное значение момента силы теста на момент окончания испытания, после фазы охлаждения.
Значение стабильности соответствует рассчитанному времени, в течение которого тесто поддерживает консистенцию, создающую момент силы выше - 11%·
.
Время соответствует времени, необходимому для достижения момента силы
.
Температурные значения ,
,
,
и
соответствуют определенной температуре теста в контрольных точках
,
,
,
и
, соответственно.
9 Выражение результатов
Результаты испытания выражают для значений момента силы ,
,
,
и
с точностью до 0,01 Н·м.
Стабильность и время
выражают с точностью до 0,01 мин.
Записывают рассчитанную температуру теста (,
,
,
и
) с точностью до 1°С.
См. рисунки А1 и А2 приложения А.
10 Прецизионность
10.1 Межлабораторные испытания
См. приложение В. Значения, полученные в результате проведения данных межлабораторных испытаний, могут быть не применимы к другим параметрам "Миксолаба", диапазонам концентраций, а также размолотому зерну и муке из зерен, отличным от мягкой пшеницы (Triticum aestivum L.).
10.2 Пределы повторяемости 
Предел повторяемости - значение, ниже которого с вероятностью 95% будет располагаться значение абсолютной разности между двумя единичными результатами испытаний, полученными в условиях повторяемости.
Водопоглощение :
![]()
:
![]()
:
![]()
:
![]()
:
![]()
Стабильность :
![]()
Время :
![]()
:
![]()
:
![]()
:
![]()
:
![]()
:
![]()
10.3 Пределы воспроизводимости 
Предел воспроизводимости - значение, ниже которого с вероятностью 95% располагается значение абсолютной разности между двумя результатами испытания, полученными в условиях воспроизводимости.
Водопоглощение :
![]()
:
![]()
:
![]()
:
![]()
:
![]()
Стабильность :
![]()
Время :
![]()
:
![]()
:
![]()
:
![]()
:
![]()
:
![]()
10.4 Критическая разность 
10.4.1 Основные положения
Критическая разность - это отклонение между двумя значениями, полученными в результате двух испытаний в условиях повторяемости.
10.4.2 Сравнение двух групп измерений в одной лаборатории
Критическая разность для сравнения двух среднеарифметических значений, полученных в результате двух испытаний в одной лаборатории, в условиях повторяемости, вычисляют по формуле
,
где - стандартное отклонение повторяемости;
,
- количество результатов испытания для каждого среднеарифметического значения - в данном случае
и
равно 2.
10.4.3 Сравнение двух групп измерений в двух разных лабораториях
Критическая разность для сравнения двух значений, полученных в результате двух испытаний в двух разных лабораториях, в условиях повторяемости, вычисляют по формуле
,
где - стандартное отклонение повторяемости;
- стандартное отклонение воспроизводимости;
,
- количество результатов испытания для каждого среднеарифметического значения - в данном случае
и
равно 2.
10.5 Неопределенность 
Неопределенность - это параметр, характеризующий дисперсию значений, которая имеет результат.* Значение неопределенности устанавливают, исходя из статистического распределения результатов, полученного на основе межлабораторных испытаний, и выражают в виде стандартного отклонения, полученного в ходе эксперимента.
_______________
* Текст документа соответствует оригиналу. - .
Для каждого параметра неопределенность может быть рассчитана как ±2, где
- стандартное отклонение воспроизводимости, установленное в соответствии с настоящим стандартом.
11 Протокол испытаний
Протокол испытаний должен содержать следующую информацию:
a) вся информация, необходимая для полной идентификации пробы;
b) используемый метод отбора проб, если он известен;
c) используемый метод испытаний со ссылкой на настоящий стандарт;
d) все подробности анализа, неустановленные в настоящем стандарте или считающиеся необязательными, наряду с подробностями любых происшествий, которые могли бы повлиять на результат(ы);
e) полученный(е) результат(ы) испытания;
f) в случае проверки повторяемости, окончательный полученный зарегистрированный результат.
Приложение А
(справочное)
Расположение параметров "Миксолаба"
В качестве примера на рисунках А.1-А.3 приведена информация о настройке измеряемых параметров "Миксолаба". В точке на рисунках А.1-А.3 наклонная (красная) линия изображает температуру чаши, С°, возрастающая волнообразная (розовая) кривая - температуру теста, С°, убывающая волнообразная (голубая) кривая - сглаженный момент силы, Н·м. Горизонтальная (фиолетовая) кривая обозначает зону создания момента силы заданной консистенции теста (1,10±0,05) Н·м, которая достигается в процессе определения водопоглощения.

- первое максимальное значение момента силы теста (используется для определения водопоглощения);
- минимальное значение момента силы, полученное в процессе развития кривой;
- максимальное значение момента силы, полученное после клейстеризации крахмала;
- минимальное значение момента силы, полученное после клейстеризации крахмала;
- окончательное значение момента силы теста
Рисунок А.1 - Расположение необходимых параметров, относящихся к моменту сопротивления теста, на кривой "Миксолаба"

- определение значения температуры теста при консистенции
;
- определение значения температуры теста при консистенции
;
- определение значения температуры теста при консистенции
;
- определение значения температуры теста при консистенции
;
- время, необходимое для достижения тестом заданной консистенции
Рисунок А.2 - Расположение значений времени и температуры теста на кривой "Миксолаба"

- 11%·
- момент силы, при котором достигнута стабильность;
- время, при котором достигается стабильность
Рисунок А.3 - Расположение параметров стабильности на кривой "Миксолаба" (развернутый вид в течение первых 8 мин)
Приложение В
(справочное)
Результаты межлабораторных испытаний пшеничной муки и проб размолотой пшеницы
Межлабораторные испытания были организованы Chopin Technologies в мае 2006 г. с участием 13 лабораторий, признанных на международном уровне.
Испытания проводились в соответствии с рекомендациями, изложенными в [1], [2] и [3], на 12 образцах пшеницы и 10 образцах муки, отобранных в целях охвата широкого диапазона значений для каждого измеряемого параметра. Результаты статистического анализа приведены в таблицах В.1-В.12 и на рисунках В.1-В.12.
Мука, произведенная из испытуемой размолотой пшеницы, была получена из одной лаборатории. Следовательно, вариабельность процесса измельчения не учитывалась при проведении расчетов параметров воспроизводимости. Две из 12 отобранных проб размолотого зерна были не обозначены: пробы и
, и пробы
и
.
Все испытания проводились в условиях повторяемости, за исключением испытания на водопоглощение, которое лаборатории проводили согласно порядку выполнения работ, изложенному в 8.5.2. Значения прецизионности для данного параметра взяты из [6] и приведены только в качестве примера. См. таблицу В.1 и рисунок В.1.
Таблица В.1 - Статистические результаты для водопоглощения
Параметр | Мука | |||||||
Количество лабораторий, участвующих в испытаниях, или количество испытаний | 12 | 12 | 11 | 10 | 10 | 12 | 11 | 10 |
Среднеарифметическое значение | 51,7 | 51,7 | 53,8 | 56,0 | 56,9 | 58,8 | 61,8 | 62,8 |
Стандартное отклонение повторяемости | 0,26 | 0,33 | 0,35 | 0,27 | 0,19 | 0,38 | 0,27 | 0,28 |
Коэффициент вариации | 0,5 | 0,6 | 0,7 | 0,5 | 0,3 | 0,6 | 0,4 | 0,4 |
Предел повторяемости | 0,7 | 0,9 | 1,0 | 0,7 | 0,5 | 1,1 | 0,7 | 0,8 |
Стандартное отклонение воспроизводимости | 0,89 | 0,95 | 0,79 | 0,5 | 0,51 | 0,92 | 0,76 | 0,65 |
Коэффициент вариации | 1,7 | 1,8 | 1,5 | 0,9 | 0,9 | 1,6 | 1,2 | 1,0 |
Предел воспроизводимости | 2,5 | 2,6 | 2,2 | 1,4 | 1,4 | 2,5 | 2,1 | 1,8 |

- стандартное отклонение;
- среднеарифметическое значение водопоглощения; 1 - стандартное отклонение воспроизводимости; 2 - стандартное отклонение повторяемости
0,1284
0,0131
График показывает, что стандартные отклонения повторяемости и воспроизводимости остаются постоянными независимо от водопоглощения
![]()
![]()
Рисунок В.1 - Зависимость стандартного отклонения прецизионности от среднеарифметического значения водопоглощения
Таблица В.2 - Статистические результаты для
Параметр | Объединенные пробы пшеницы | ||||||||||
Количество лабораторий, участвующих в испытаниях | 11 | 12 | 12 | 11 | 11 | 11 | 12 | 11 | 11 | 12 | 11 |
Среднеарифметическое значение | 0,37 | 0,38 | 0,39 | 0,45 | 0,46 | 0,46 | 0,47 | 0,47 | 0,48 | 0,49 | 0,49 |
Стандартное отклонение повторяемости | 0,017 | 0,013 | 0,012 | 0,01 | 0,011 | 0,016 | 0,007 | 0,015 | 0,018 | 0,008 | 0,016 |
Коэффициент вариации | 5 | 3 | 3 | 2 | 2 | 3 | 1 | 3 | 4 | 2 | 3 |
Предел повторяемости | 0,05 | 0,04 | 0,03 | 0,03 | 0,03 | 0,04 | 0,02 | 0,04 | 0,05 | 0,02 | 0,04 |
Стандартное отклонение воспроизводимости | 0,023 | 0,021 | 0,022 | 0,023 | 0,026 | 0,033 | 0,022 | 0,025 | 0,041 | 0,016 | 0,029 |
Коэффициент вариации | 6 | 6 | 6 | 5 | 6 | 7 | 5 | 5 | 9 | 3 | 6 |
Предел воспроизводимости | 0,06 | 0,06 | 0,06 | 0,06 | 0,07 | 0,09 | 0,06 | 0,07 | 0,11 | 0,04 | 0,08 |
Параметр | Объединенные пробы пшеницы | ||||||||||
Количество лабораторий, участвующих в испытаниях | 12 | 12 | 11 | 12 | 10 | 12 | 12 | 11 | 11 | 11 | 11 |
Среднеарифметическое значение | 0,50 | 0,50 | 0,52 | 0,52 | 0,52 | 0,57 | 0,58 | 0,58 | 0,60 | 0,60 | 0,63 |
Стандартное отклонение повторяемости, | 0,009 | 0,01 | 0,006 | 0,009 | 0,016 | 0,012 | 0,018 | 0,019 | 0,01 | 0,014 | 0,017 |
Коэффициент вариации | 2 | 2 | 1 | 2 | 3 | 2 | 3 | 3 | 2 | 2 | 3 |
Предел повторяемости | 0,02 | 0,03 | 0,02 | 0,02 | 0,04 | 0,03 | 0,05 | 0,05 | 0,03 | 0,04 | 0,05 |
Стандартное отклонение воспроизводимости | 0,027 | 0,025 | 0,029 | 0,027 | 0,031 | 0,026 | 0,022 | 0,039 | 0,028 | 0,032 | 0,029 |
Коэффициент вариации | 5 | 5 | 6 | 5 | 6 | 5 | 4 | 7 | 5 | 5 | 5 |
Предел воспроизводимости | 0,07 | 0,07 | 0,08 | 0,07 | 0,09 | 0,07 | 0,06 | 0,11 | 0,08 | 0,09 | 0,08 |

- стандартное отклонение;
- среднеарифметическое значение минимального момента силы, полученного в течение развития кривой; 1 - стандартное отклонение воспроизводимости; 2 - стандартное отклонение повторяемости
0,1423
0,0146
График показывает, что стандартные отклонения повторяемости и воспроизводимости остаются постоянными независимо от значения.
![]()
![]()
Рисунок В.2 - Зависимость стандартного отклонения прецизионности от среднеарифметического значения
Таблица В.3 - Статистические результаты для
Параметр | Объединенные пробы пшеницы | |||||||||||||||||
Количество лабораторий, участвующих в испытаниях | 11 | 12 | 11 | 11 | 11 | 11 | 11 | 4 | 3 | 6 | 12 | |||||||
Среднеарифметическое значение | 1,59 | 1,75 | 1,76 | 1,79 | 1,83 | 1,84 | 1,84 | 1,84 | 1,91 | 1,92 | 1,92 | |||||||
Стандартное отклонение повторяемости | 0,016 | 0,015 | 0,017 | 0,018 | 0,014 | 0,016 | 0,021 | 0,004 | 0,007 | 0,039 | 0,015 | |||||||
Коэффициент вариации | 1 | 1 | 1 | 1 | 1 | 1 | 1 | 0 | 0 | 2 | 1 | |||||||
Предел повторяемости | 0,04 | 0,04 | 0,05 | 0,05 | 0,04 | 0,04 | 0,06 | 0,01 | 0,02 | 0,11 | 0,04 | |||||||
Стандартное отклонение воспроизводимости | 0,09 | 0,043 | 0,068 | 0,089 | 0,068 | 0,079 | 0,079 | 0,058 | 0,069 | 0,08 | 0,082 | |||||||
Коэффициент вариации | 6 | 2 | 4 | 5 | 4 | 4 | 4 | 3 | 4 | 4 | 4 | |||||||
Предел воспроизводимости | 0,25 | 0,12 | 0,19 | 0,25 | 0,19 | 0,22 | 0,22 | 0,16 | 0,19 | 0,22 | 0,23 | |||||||
Параметр | Объединенные пробы пшеницы | |||||||||||||||||
Количество лабораторий, участвующих в испытаниях | 11 | 6 | 11 | 10 | 9 | 4 | 12 | 11 | 11 | |||||||||
Среднеарифметическое значение | 1,94 | 1,97 | 1,99 | 2,01 | 2,01 | 2,01 | 2,03 | 2,10 | 2,13 | |||||||||
Стандартное отклонение повторяемости | 0,013 | 0,029 | 0,01 | 0,045 | 0,021 | 0,026 | 0,019 | 0,029 | 0,015 | |||||||||
Коэффициент вариации | 1 | 1 | 1 | 2 | 1 | 1 | 1 | 1 | 1 | |||||||||
Предел повторяемости | 0,04 | 0,08 | 0,03 | 0,12 | 0,06 | 0,07 | 0,05 | 0,08 | 0,04 | |||||||||
Стандартное отклонение воспроизводимости | 0,059 | 0,029 | 0,079 | 0,085 | 0,158 | 0,062 | 0,084 | 0,079 | 0,077 | |||||||||
Коэффициент вариации | 3 | 1 | 4 | 4 | 8 | 3 | 4 | 4 | 4 | |||||||||
Предел воспроизводимости | 0,16 | 0,08 | 0,22 | 0,24 | 0,44 | 0,17 | 0,23 | 0,22 | 0,21 | |||||||||

- стандартное отклонение;
- среднеарифметическое значение максимального момента силы, полученного после клейстеризации крахмала; 1 - стандартное отклонение воспроизводимости; 2 - стандартное отклонение повторяемости
0,0146
0,0646
График показывает, что стандартные отклонения повторяемости и воспроизводимости остаются постоянными независимо от значения .
![]()
![]()
Рисунок В.3 - Зависимость стандартного отклонения прецизионности от среднеарифметического значения
Таблица В.4 - Статистические результаты для
Параметр | Объединенные пробы пшеницы | |||||||||||||||||
Количество лабораторий, участвующих в испытаниях | 11 | 11 | 11 | 11 | 11 | 11 | 12 | 9 | 4 | 12 | 11 | |||||||
Среднеарифметическое значение | 0,95 | 1,24 | 1,32 | 1,40 | 1,46 | 1,47 | 1,63 | 1,71 | 1,73 | 1,75 | 1,78 | |||||||
Стандартное отклонение повторяемости | 0,015 | 0,017 | 0,018 | 0,021 | 0,024 | 0,033 | 0,022 | 0,06 | 0,013 | 0,065 | 0,02 | |||||||
Коэффициент вариации | 2 | 1 | 1 | 2 | 2 | 2 | 1 | 4 | 1 | 4 | 1 | |||||||
Предел повторяемости | 0,04 | 0,05 | 0,05 | 0,06 | 0,07 | 0,09 | 0,06 | 0,17 | 0,04 | 0,18 | 0,06 | |||||||
Стандартное отклонение воспроизводимости | 0,08 | 0,084 | 0,225 | 0,091 | 0,06 | 0,068 | 0,052 | 0,144 | 0,136 | 0,103 | 0,087 | |||||||
Коэффициент вариации | 8 | 7 | 17 | 7 | 4 | 5 | 3 | 8 | 8 | 6 | 5 | |||||||
Предел воспроизводимости | 0,22 | 0,23 | 0,62 | 0,25 | 0,17 | 0,19 | 0,14 | 0,40 | 0,38 | 0,29 | 0,24 | |||||||
Параметр | Объединенные пробы пшеницы | |||||||||||||||||
Количество лабораторий, участвующих в испытаниях | 6 | 11 | 3 | 12 | 6 | 10 | 5 | 11 | 11 | |||||||||
Среднеарифметическое значение | 1,85 | 1,85 | 1,85 | 1,90 | 1,91 | 1,92 | 1,92 | 1,95 | 1,99 | |||||||||
Стандартное отклонение повторяемости | 0,053 | 0,019 | 0,011 | 0,05 | 0,024 | 0,043 | 0,022 | 0,032 | 0,017 | |||||||||
Коэффициент вариации | 3 | 1 | 1 | 3 | 1 | 2 | 1 | 2 | 1 | |||||||||
Предел повторяемости | 0,15 | 0,05 | 0,03 | 0,14 | 0,07 | 0,12 | 0,06 | 0,09 | 0,05 | |||||||||
Стандартное отклонение воспроизводимости | 0,072 | 0,068 | 0,075 | 0,095 | 0,037 | 0,075 | 0,109 | 0,014 | 0,13 | |||||||||
Коэффициент вариации | 4 | 4 | 4 | 5 | 2 | 4 | 6 | 1 | 7 | |||||||||
Предел воспроизводимости | 0,20 | 0,19 | 0,21 | 0,26 | 0,10 | 0,21 | 0,30 | 0,04 | 0,36 | |||||||||

- стандартное отклонение;
- среднеарифметическое значение минимального момента силы, полученного после клейстеризации крахмала; 1 - стандартное отклонение воспроизводимости; 2 - стандартное отклонение повторяемости
0,0338
0,0885
График показывает, что стандартные отклонения повторяемости и воспроизводимости остаются постоянными независимо от значения.
![]()
![]()
Рисунок В.4 - Зависимость стандартного отклонения прецизионности от среднеарифметического значения
Таблица В.5 - Статистические результаты для
Параметр | Объединенные пробы пшеницы | ||||||||||
Количество лабораторий, участвующих в испытаниях | 11 | 11 | 11 | 11 | 12 | 12 | 11 | 12 | 12 | 12 | 12 |
Среднеарифметическое значение | 1,46 | 1,86 | 1,99 | 2,22 | 2,34 | 2,60 | 2,63 | 2,68 | 2,76 | 2,77 | 2,78 |
Стандартное отклонение повторяемости | 0,031 | 0,075 | 0,057 | 0,087 | 0,064 | 0,09 | 0,04 | 0,08 | 0,09 | 0,248 | 0,052 |
Коэффициент вариации | 2 | 4 | 3 | 4 | 3 | 3 | 2 | 3 | 3 | 9 | 2 |
Предел повторяемости | 0,09 | 0,21 | 0,16 | 0,24 | 0,18 | 0,25 | 0,11 | 0,22 | 0,25 | 0,69 | 0,14 |
Стандартное отклонение воспроизводимости | 0,147 | 0,161 | 0,215 | 0,242 | 0,134 | 0,19 | 0,128 | 0,162 | 0,222 | 0,248 | 0,187 |
Коэффициент вариации | 10 | 9 | 11 | 11 | 6 | 7 | 5 | 6 | 8 | 9 | 7 |
Предел воспроизводимости | 0,41 | 0,45 | 0,60 | 0,67 | 0,37 | 0,53 | 0,35 | 0,45 | 0,61 | 0,69 | 0,52 |
Параметр | Объединенные пробы пшеницы | ||||||||||
Количество лабораторий, участвующих в испытаниях | 12 | 11 | 11 | 11 | 11 | 11 | 11 | 11 | 10 | 12 | 12 |
Среднеарифметическое значение | 2,90 | 2,92 | 2,93 | 2,93 | 2,99 | 3,02 | 3,03 | 3,14 | 3,22 | 3,44 | 3,73 |
Стандартное отклонение повторяемости | 0,084 | 0,048 | 0,17 | 0,083 | 0,071 | 0,09 | 0,073 | 0,042 | 0,043 | 0,047 | 0,061 |
Коэффициент вариации | 3 | 2 | 6 | 3 | 2 | 3 | 2 | 1 | 1 | 1 | 2 |
Предел повторяемости | 0,23 | 0,13 | 0,47 | 0,23 | 0,20 | 0,25 | 0,20 | 0,12 | 0,12 | 0,13 | 0,17 |
Стандартное отклонение воспроизводимости | 0,174 | 0,183 | 0,28 | 0,176 | 0,16 | 0,238 | 0,179 | 0,224 | 0,134 | 0,212 | 0,175 |
Коэффициент вариации | 6 | 6 | 10 | 6 | 5 | 8 | 6 | 7 | 4 | 6 | 5 |
Предел воспроизводимости | 0,48 | 0,51 | 0,78 | 0,49 | 0,44 | 0,66 | 0,50 | 0,62 | 0,37 | 0,59 | 0,48 |

- стандартное отклонение;
- среднеарифметическое значение окончательного момента силы теста; 1 - стандартное отклонение воспроизводимости; 2 - стандартное отклонение повторяемости
0,0237
0,0034
График показывает, что стандартные отклонения повторяемости и воспроизводимости остаются постоянными независимо от значения .
![]()
![]()
Рисунок В.5 - Зависимость стандартного отклонения прецизионности от среднеарифметического значения
Таблица В.6 - Статистические результаты стабильности
Параметр | Объединенные пробы пшеницы | ||||||||||
Количество лабораторий, участвующих в испытаниях | 11 | 12 | 12 | 12 | 11 | 11 | 11 | 10 | 11 | 12 | 12 |
Среднеарифметическое значение | 4,69 | 5,64 | 6,45 | 7,07 | 8,19 | 8,22 | 8,30 | 8,77 | 8,87 | 9,13 | 9,35 |
Стандартное отклонение повторяемости | 0,597 | 0,729 | 0,708 | 0,607 | 0,275 | 0,334 | 1,184 | 0,393 | 1,519 | 0,25 | 0,371 |
Коэффициент вариации | 13 | 13 | 11 | 9 | 3 | 4 | 14 | 4 | 17 | 3 | 4 |
Предел повторяемости | 1,65 | 2,02 | 1,96 | 1,68 | 0,76 | 0,93 | 3,28 | 1,09 | 4,21 | 0,69 | 1,03 |
Стандартное отклонение воспроизводимости | 0,854 | 1,045 | 1,223 | 1,396 | 1,28 | 0,636 | 2,015 | 0,566 | 2,031 | 0,991 | 0,944 |
Коэффициент вариации, | 18 | 19 | 19 | 20 | 16 | 8 | 24 | 6 | 23 | 11 | 10 |
Предел воспроизводимости | 2,37 | 2,89 | 3,39 | 3,87 | 3,55 | 1,76 | 5,58 | 1,57 | 5,63 | 2,75 | 2,61 |
Параметр | Объединенные пробы пшеницы | ||||||||||
Количество лабораторий, участвующих в испытаниях | 12 | 11 | 11 | 11 | 12 | 12 | 12 | 11 | 11 | 11 | 11 |
Среднеарифметическое значение | 10,26 | 10,27 | 10,33 | 10,38 | 10,64 | 10,69 | 10,84 | 10,94 | 11,30 | 11,30 | 11,42 |
Стандартное отклонение повторяемости | 0,31 | 0,305 | 0,372 | 0,197 | 0,198 | 0,393 | 0,151 | 0,223 | 0,25 | 0,146 | 0,238 |
Коэффициент вариации | 3 | 3 | 4 | 2 | 2 | 4 | 1 | 2 | 2 | 1 | 2 |
Предел повторяемости | 0,86 | 0,84 | 1,03 | 0,55 | 0,55 | 1,09 | 0,42 | 0,62 | 0,70 | 0,40 | 0,66 |
Стандартное отклонение воспроизводимости | 0,5 | 0,363 | 0,477 | 0,342 | 0,413 | 0,661 | 0,369 | 0,315 | 0,37 | 0,309 | 0,608 |
Коэффициент вариации, | 5 | 4 | 5 | 3 | 4 | 6 | 3 | 3 | 3 | 3 | 5 |
Предел воспроизводимости | 1,39 | 1,01 | 1,32 | 0,95 | 1,14 | 1,83 | 1,02 | 0,87 | 1,02 | 0,86 | 1,68 |

- стандартное отклонение;
- среднеарифметическое значение стабильности; 1 - стандартное отклонение воспроизводимости; 2 - стандартное отклонение повторяемости
0,3138
0,2544
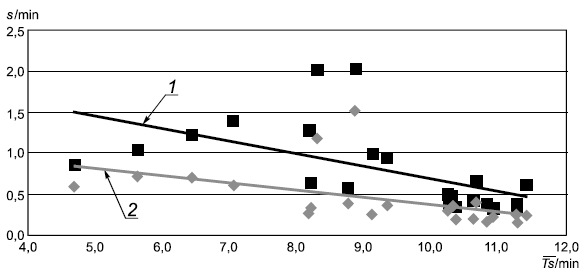
График показывает, что стандартные отклонения повторяемости и воспроизводимости обратно пропорциональны значению стабильности.
![]()
![]()
Рисунок В.6 - Зависимость стандартного отклонения прецизионности от среднеарифметического значения стабильности
Таблица В.7 - Статистические результаты для времени
Параметр | Объединенные пробы пшеницы | ||||||||||
Количество лабораторий, участвующих в испытаниях | 12 | 12 | 12 | 11 | 12 | 12 | 11 | 11 | 11 | 10 | 11 |
Среднеарифметическое значение | 0,99 | 1,20 | 1,24 | 1,29 | 1,36 | 1,53 | 2,35 | 2,77 | 3,19 | 3,63 | 4,11 |
Стандартное отклонение повторяемости, | 0,184 | 0,229 | 0,139 | 0,177 | 0,184 | 0,216 | 0,778 | 0,096 | 0,192 | 0,474 | 0,536 |
Коэффициент вариации | 19 | 19 | 11 | 14 | 14 | 14 | 33 | 3 | 6 | 13 | 13 |
Предел повторяемости | 0,51 | 0,63 | 0,39 | 0,49 | 0,51 | 0,60 | 2,16 | 0,27 | 0,53 | 1,31 | 1,48 |
Стандартное отклонение воспроизводимости | 0,197 | 0,229 | 0,158 | 0,242 | 0,217 | 0,264 | 0,91 | 0,706 | 0,322 | 1,036 | 1,374 |
Коэффициент вариации | 20 | 19 | 13 | 19 | 16 | 17 | 39 | 25 | 10 | 29 | 33 |
Предел воспроизводимости | 0,55 | 0,63 | 0,44 | 0,67 | 0,60 | 0,73 | 2,52 | 1,96 | 0,89 | 2,87 | 3,81 |
Параметр | Объединенные пробы пшеницы | ||||||||||
Количество лабораторий, участвующих в испытаниях | 11 | 11 | 11 | 11 | 11 | 12 | 12 | 12 | 11 | 11 | 12 |
Среднеарифметическое значение | 4,56 | 5,18 | 5,27 | 5,61 | 6,24 | 6,26 | 6,63 | 7,07 | 7,15 | 7,15 | 7,36 |
Стандартное отклонение повторяемости, | 1,276 | 0,48 | 0,45 | 0,38 | 0,04 | 0,27 | 1,22 | 0,57 | 0,74 | 0,33 | 1,31 |
Коэффициент вариации | 28 | 9 | 8 | 7 | 1 | 4 | 18 | 8 | 10 | 5 | 18 |
Предел повторяемости | 3,53 | 1,32 | 1,24 | 1,06 | 0,11 | 0,75 | 3,37 | 1,58 | 2,04 | 0,90 | 3,63 |
Стандартное отклонение воспроизводимости | 1,45 | 0,72 | 0,89 | 1,35 | 0,62 | 0,73 | 1,57 | 1,25 | 1,1 | 1,57 | 1,44 |
Коэффициент вариации | 32 | 14 | 17 | 24 | 10 | 12 | 24 | 18 | 15 | 22 | 20 |
Предел воспроизводимости | 4,02 | 1,99 | 2,45 | 3,74 | 1,72 | 2,01 | 4,35 | 3,47 | 3,04 | 4,34 | 3,99 |

- стандартное отклонение;
- среднеарифметическое значение времени; 1 - стандартное отклонение воспроизводимости; 2 - стандартное отклонение повторяемости
0,6245
0,2452
График показывает, что стандартные отклонения повторяемости и воспроизводимости пропорциональны среднеарифметическому значению времени, .
![]()
![]()
Рисунок В.7 - Зависимость стандартного отклонения прецизионности от среднеарифметического значения времени
Таблица В.8 - Статистические результаты для
Параметр | Объединенные пробы пшеницы | ||||||||||
Количество лабораторий, участвующих в испытаниях | 12 | 12 | 11 | 12 | 12 | 12 | 11 | 12 | 11 | 11 | 11 |
Среднеарифметическое значение | 29,7 | 29,8 | 30,0 | 30,1 | 30,3 | 30,4 | 30,7 | 30,7 | 31,1 | 31,1 | 31,1 |
Стандартное отклонение повторяемости | 0,624 | 0,601 | 0,766 | 0,542 | 0,542 | 0,571 | 0,727 | 0,501 | 0,421 | 0,605 | 0,407 |
Коэффициент вариации | 2 | 2 | 3 | 2 | 2 | 2 | 2 | 2 | 1 | 2 | 1 |
Предел повторяемости | 1,73 | 1,66 | 2,12 | 1,50 | 1,50 | 1,58 | 2,01 | 1,39 | 1,17 | 1,68 | 1,13 |
Стандартное отклонение воспроизводимости | 1,273 | 0,964 | 0,766 | 1,225 | 0,745 | 1,328 | 1,318 | 1,115 | 0,964 | 0,98 | 1,072 |
Коэффициент вариации | 4 | 3 | 3 | 4 | 2 | 4 | 4 | 4 | 3 | 3 | 3 |
Предел воспроизводимости | 3,53 | 2,67 | 2,12 | 3,39 | 2,06 | 3,68 | 3,65 | 3,09 | 3,67 | 2,71 | 2,97 |
Параметр | Объединенные пробы пшеницы | ||||||||||
Количество лабораторий, участвующих в испытаниях | 10 | 12 | 11 | 11 | 11 | 12 | 11 | 12 | 11 | 11 | 11 |
Среднеарифметическое значение | 31,2 | 31,2 | 31,3 | 31,4 | 31,4 | 31,4 | 31,6 | 31,6 | 31,7 | 31,9 | 33,9 |
Стандартное отклонение повторяемости | 0,392 | 0,86 | 0,51 | 0,466 | 0,567 | 0,528 | 0,891 | 0,539 | 0,472 | 0,404 | 0,533 |
Коэффициент вариации | 1 | 3 | 2 | 1 | 2 | 2 | 3 | 2 | 1 | 1 | 2 |
Предел повторяемости | 1,09 | 2,38 | 1,42 | 1,29 | 1,57 | 1,46 | 2,47 | 1,49 | 1,31 | 1,12 | 1,48 |
Стандартное отклонение воспроизводимости | 0,908 | 1,03 | 0,71 | 0,878 | 0,682 | 0,845 | 1,066 | 0,907 | 0,658 | 1,094 | 0,81 |
Коэффициент вариации | 3 | 3 | 2 | 3 | 2 | 3 | 3 | 3 | 2 | 3 | 2 |
Предел воспроизводимости | 2,52 | 2,86 | 1,95 | 2,43 | 1,89 | 2,34 | 2,95 | 2,51 | 1,82 | 3,03 | 2,24 |

- стандартное отклонение;
- среднеарифметическое значение температуры, соответствующее
; 1 - стандартное отклонение воспроизводимости; 2 - стандартное отклонение повторяемости
0,1408
0,0393
График показывает, что стандартные отклонения повторяемости и воспроизводимости остаются постоянными независимо от значения .
![]()
![]()
Рисунок В.8 - Зависимость стандартного отклонения прецизионности от среднеарифметического значения
Таблица В.9 - Статистические результаты для
Параметр | Объединенные пробы пшеницы | ||||||||||
Количество лабораторий, участвующих в испытаниях | 11 | 11 | 11 | 10 | 11 | 11 | 11 | 11 | 11 | 11 | 11 |
Среднеарифметическое значение | 56,1 | 56,3 | 56,8 | 56,8 | 56,8 | 56,9 | 56,9 | 56,9 | 57,0 | 57,1 | 57,4 |
Стандартное отклонение повторяемости | 0,316 | 0,74 | 0,602 | 0,754 | 0,574 | 0,369 | 0,634 | 0,469 | 0,58 | 0,67 | 0,711 |
Коэффициент вариации | 1 | 1 | 1 | 1 | 1 | 1 | 1 | 1 | 1 | 1 | 1 |
Предел повторяемости | 0,88 | 2,05 | 1,67 | 2,09 | 1,59 | 1,10 | 1,76 | 1,30 | 1,61 | 1,86 | 1,97 |
Стандартное отклонение воспроизводимости | 1,645 | 1,579 | 1,239 | 1,73 | 1,504 | 1,379 | 1,622 | 1,621 | 1,399 | 1,357 | 1,486 |
Коэффициент вариации | 3 | 3 | 2 | 3 | 3 | 2 | 3 | 3 | 2 | 2 | 3 |
Предел воспроизводимости | 4,56 | 4,37 | 3,43 | 4,79 | 4,17 | 3,82 | 4,49 | 4,49 | 3,88 | 3,76 | 4,12 |
Параметр | Объединенные пробы пшеницы | ||||||||||
Количество лабораторий, участвующих в испытаниях | 11 | 12 | 12 | 12 | 12 | 12 | 11 | 12 | 12 | 12 | 12 |
Среднеарифметическое значение | 57,7 | 52,2 | 52,6 | 53,0 | 53,2 | 53,5 | 54,6 | 55,2 | 55,5 | 55,8 | 56,3 |
Стандартное отклонение повторяемости | 0,641 | 0,737 | 0,89 | 0,835 | 0,884 | 0,725 | 0,934 | 0,439 | 0,692 | 0,711 | 0,387 |
Коэффициент вариации | 1 | 1 | 2 | 2 | 2 | 1 | 2 | 1 | 1 | 1 | 1 |
Предел повторяемости | 1,78 | 2,04 | 2,47 | 2,31 | 2,45 | 2,01 | 2,59 | 1,22 | 1,92 | 1,97 | 1,07 |
Стандартное отклонение воспроизводимости | 1,917 | 1,677 | 1,241 | 1,636 | 1,475 | 1,578 | 1,483 | 1,844 | 1,97 | 1,533 | 1,944 |
Коэффициент вариации | 3 | 3 | 2 | 3 | 3 | 3 | 3 | 3 | 4 | 3 | 3 |
Предел воспроизводимости | 5,31 | 4,65 | 3,44 | 4,53 | 4,09 | 4,37 | 4,11 | 5,11 | 5,46 | 4,30 | 5,38 |

- стандартное отклонение;
- среднеарифметическое значение температуры, соответствующее
; 1 - стандартное отклонение воспроизводимости; 2 - стандартное отклонение повторяемости
0,0046
0,292
График показывает, что стандартные отклонения повторяемости и воспроизводимости остаются постоянными независимо от значения .
![]()
![]()
Рисунок В.9 - Зависимость стандартного отклонения прецизионности от среднеарифметического значения
Таблица В.10 - Статистические результаты для
Параметр | Объединенные пробы пшеницы | ||||||||||||||||||
Количество лабораторий, участвующих в испытаниях | 11 | 11 | 11 | 11 | 11 | 11 | 11 | 9 | 11 | 11 | 4 | ||||||||
Среднеарифметическое значение | 75,2 | 75,8 | 77,3 | 77,3 | 77,5 | 78,0 | 78,2 | 79,0 | 79,1 | 79,2 | 79,2 | ||||||||
Стандартное отклонение повторяемости | 0,85 | 0,679 | 0,669 | 0,558 | 0,458 | 0,794 | 0,88 | 0,628 | 0,821 | 0,858 | 0,408 | ||||||||
Коэффициент вариации | 1 | 1 | 1 | 1 | 1 | 1 | 1 | 1 | 1 | 1 | 1 | ||||||||
Предел повторяемости | 2,35 | 1,88 | 1,85 | 1,55 | 1,27 | 2,20 | 2,44 | 1,74 | 2,27 | 2,38 | 1,13 | ||||||||
Стандартное отклонение воспроизводимости | 1,311 | 1,566 | 1,856 | 2,09 | 1,546 | 2,113 | 2,194 | 2,474 | 1,485 | 2,221 | 1,336 | ||||||||
Коэффициент вариации | 2 | 2 | 2 | 3 | 2 | 3 | 3 | 3 | 2 | 3 | 2 | ||||||||
Предел воспроизводимости | 3,63 | 4,34 | 5,14 | 5,79 | 4,28 | 5,85 | 6,08 | 6,85 | 4,11 | 6,15 | 3,70 | ||||||||
Параметр | Объединенные пробы пшеницы | ||||||||||||||||||
Количество лабораторий, участвующих в испытаниях | 10 | 12 | 3 | 11 | 12 | 6 | 12 | 8 | 6 | 4 | |||||||||
Среднеарифметическое значение | 79,9 | 76,4 | 78,5 | 78,9 | 80,6 | 80,8 | 80,8 | 81,9 | 84,7 | 86,2 | |||||||||
Стандартное отклонение повторяемости | 1,464 | 1,101 | 0,412 | 0,907 | 0,859 | 1,075 | 0,675 | 0,657 | 0,873 | 0,767 | |||||||||
Коэффициент вариации | 2 | 1 | 1 | 1 | 1 | 1 | 1 | 1 | 1 | 1 | |||||||||
Предел повторяемости | 4,06 | 3,05 | 1,14 | 2,51 | 2,38 | 2,98 | 1,87 | 1,82 | 2,42 | 2,12 | |||||||||
Стандартное отклонение воспроизводимости | 1,985 | 2,441 | 0,835 | 2,013 | 1,69 | 1,084 | 2,06 | 1,324 | 0,889 | 1,001 | |||||||||
Коэффициент вариации | 2 | 3 | 1 | 3 | 2 | 1 | 3 | 2 | 1 | 1 | |||||||||
Предел воспроизводимости | 5,50 | 6,76 | 2,31 | 5,58 | 4,68 | 3,00 | 5,71 | 3,67 | 2,46 | 2,77 | |||||||||

- стандартное отклонение;
- среднеарифметическое значение температуры, соответствующее
; 1 - стандартное отклонение воспроизводимости; 2 - стандартное отклонение повторяемости
0,1988
0,0123
График показывает, что стандартные отклонения повторяемости и воспроизводимости остаются постоянными независимо от значения .
![]()
![]()
Рисунок В.10 - Зависимость стандартного отклонения прецизионности от среднеарифметического значения
Таблица В.11 - Статистические результаты для
Параметр | Объединенные пробы пшеницы | |||||||||||||||||||
Количество лабораторий, участвующих в испытаниях | 11 | 11 | 11 | 4 | 11 | 11 | 10 | 9 | 11 | 11 | 11 | |||||||||
Среднеарифметическое значение | 83,5 | 85,1 | 85,2 | 85,4 | 85,8 | 85,8 | 85,9 | 86,1 | 86,1 | 86,3 | 86,5 | |||||||||
Стандартное отклонение повторяемости | 0,889 | 0,541 | 0,771 | 0,601 | 0,679 | 1,166 | 1,762 | 1,332 | 0,382 | 0,497 | 0,514 | |||||||||
Коэффициент вариации | 1 | 1 | 1 | 1 | 1 | 1 | 2 | 2 | 0 | 1 | 1 | |||||||||
Предел повторяемости | 2,46 | 1,50 | 2,14 | 1,66 | 1,88 | 3,23 | 4,88 | 3,69 | 1,06 | 1,38 | 1,42 | |||||||||
Стандартное отклонение воспроизводимости | 2,623 | 1,729 | 1,705 | 2,332 | 1,344 | 2,261 | 2,391 | 1,448 | 1,462 | 1,595 | 1,639 | |||||||||
Коэффициент вариации | 3 | 2 | 2 | 3 | 2 | 3 | 3 | 2 | 2 | 2 | 2 | |||||||||
Предел воспроизводимости | 7,27 | 4,79 | 4,72 | 6,46 | 3,72 | 6,26 | 6,62 | 4,01 | 4,05 | 4,42 | 4,54 | |||||||||
Параметр | Объединенные пробы пшеницы | |||||||||||||||||||
Количество лабораторий, участвующих в испытаниях | 11 | 12 | 12 | 12 | 11 | 8 | 6 | 6 | 3 | 4 | ||||||||||
Среднеарифметическое значение | 86,6 | 85,2 | 85,5 | 86,2 | 86,5 | 86,8 | 86,9 | 87,1 | 87,1 | 88,7 | ||||||||||
Стандартное отклонение повторяемости | 0,551 | 0,731 | 0,574 | 0,803 | 0,892 | 0,369 | 1,458 | 0,533 | 0,515 | 0,554 | ||||||||||
Коэффициент вариации | 1 | 1 | 1 | 1 | 1 | 0 | 2 | 1 | 1 | 1 | ||||||||||
Предел повторяемости | 1,53 | 2,02 | 1,59 | 2,22 | 2,47 | 1,02 | 4,04 | 1,48 | 1,43 | 1,53 | ||||||||||
Стандартное отклонение воспроизводимости | 1,536 | 2,07 | 2,255 | 1,684 | 2,168 | 1,392 | 1,715 | 0,776 | 1,255 | 0,734 | ||||||||||
Коэффициент вариации | 2 | 2 | 3 | 2 | 3 | 2 | 2 | 1 | 1 | 1 | ||||||||||
Предел воспроизводимости | 4,25 | 5,73 | 6,25 | 4,66 | 6,01 | 3,86 | 4,75 | 2,15 | 3,48 | 2,03 | ||||||||||

- стандартное отклонение;
- среднеарифметическое значение температуры, соответствующее
; 1 - стандартное отклонение воспроизводимости; 2 - стандартное отклонение повторяемости
0,5685
0,0209
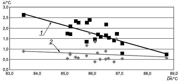
График показывает, что стандартные отклонения повторяемости и воспроизводимости остаются постоянными, если стандартное отклонение воспроизводимости пропорционально значению .
![]()
![]()
Рисунок В.11 - Зависимость стандартного отклонения прецизионности от среднеарифметического значения
Таблица В.12 - Статистические результаты для
Параметр | Объединенные пробы пшеницы | ||||||||||
Количество лабораторий, участвующих в испытаниях | 11 | 11 | 11 | 11 | 11 | 11 | 11 | 11 | 11 | 10 | 11 |
Среднеарифметическое значение | 58,1 | 58,3 | 58,9 | 59,2 | 59,3 | 59,6 | 59,6 | 59,7 | 59,7 | 59,8 | 59,9 |
Стандартное отклонение повторяемости | 0,732 | 0,566 | 0,642 | 0,649 | 0,531 | 0,643 | 0,884 | 0,568 | 0,74 | 1,201 | 0,796 |
Коэффициент вариации | 1 | 1 | 1 | 1 | 1 | 1 | 1 | 1 | 1 | 2 | 1 |
Предел повторяемости | 2,03 | 1,57 | 1,78 | 1,80 | 1,47 | 1,78 | 2,45 | 1,57 | 2,05 | 3,33 | 2,20 |
Стандартное отклонение воспроизводимости | 2,433 | 2,630 | 2,438 | 2,762 | 2,639 | 2,532 | 2,928 | 2,99 | 2,425 | 3,043 | 2,348 |
Коэффициент вариации | 4 | 5 | 4 | 5 | 4 | 4 | 5 | 5 | 4 | 5 | 4 |
Предел воспроизводимости | 6,74 | 7,28 | 6,75 | 7,65 | 7,31 | 7,01 | 8,11 | 8,28 | 6,72 | 8,43 | 6,50 |
Параметр | Объединенные пробы пшеницы | ||||||||||
Количество лабораторий, участвующих в испытаниях | 11 | 12 | 12 | 12 | 12 | 12 | 12 | 12 | 12 | 11 | 12 |
Среднеарифметическое значение | 60,2 | 58,7 | 59,3 | 59,4 | 59,8 | 59,8 | 59,8 | 59,9 | 60,0 | 60,2 | 60,6 |
Стандартное отклонение повторяемости | 0,63 | 0,682 | 0,826 | 0,824 | 0,815 | 0,435 | 1,003 | 0,463 | 1,224 | 0,561 | 0,889 |
Коэффициент вариации | 1 | 1 | 1 | 1 | 1 | 1 | 2 | 1 | 2 | 1 | 1 |
Предел повторяемости | 1,75 | 1,89 | 2,29 | 2,28 | 2,26 | 1,20 | 2,78 | 1,28 | 3,39 | 1,55 | 2,46 |
Стандартное отклонение воспроизводимости | 2,633 | 2,938 | 2,624 | 2,823 | 2,889 | 3,004 | 2,684 | 2,912 | 2,327 | 2,798 | 3,082 |
Коэффициент вариации | 4 | 5 | 4 | 5 | 5 | 5 | 4 | 5 | 4 | 5 | 5 |
Предел воспроизводимости | 7,29 | 8,26 | 7,27 | 7,82 | 8,00 | 8,32 | 7,43 | 8,07 | 6,45 | 7,75 | 8,54 |

- стандартное отклонение;
- среднеарифметическое значение температуры, соответствующее
; 1 - стандартное отклонение воспроизводимости; 2 - стандартное отклонение повторяемости
0,0725
0,0501
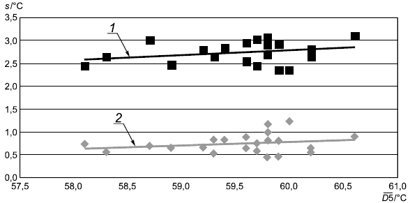
График показывает, что стандартные отклонения повторяемости и воспроизводимости остаются постоянными независимо от значения.
![]()
![]()
Рисунок В.12 - Зависимость стандартного отклонения прецизионности от среднеарифметического значения
Приложение ДА
(справочное)
Сведения о соответствии межгосударственных стандартов ссылочным международным стандартам
Таблица ДА.1
Обозначение и наименование ссылочного международного стандарта | Степень соответствия | Обозначение и наименование соответствующего межгосударственного стандарта |
ISO 712 Зерновые и продукты из них. Определение содержания влаги. Контрольный метод | - | * |
* Соответствующий межгосударственный стандарт отсутствует. До его принятия рекомендуется использовать перевод на русский язык данного международного стандарта. | ||
Библиография
[1] | ISO 5725-2, Accuracy (trueness and precision) of measurement methods and results - Part 2: Basic method for the determination of repeatability and reproducibility of a standard measurement method [Точность (правильность и прецизионность) методов и результатов измерений. Часть 2. Основной метод определения повторяемости и воспроизводимости стандартного метода измерения] |
[2] | ISO 5725-3, Accuracy (trueness and precision) of measurement methods and results - Part 3: Intermediate measures of the precision of a standard measurement method [Точность (правильность и прецизионность) методов и результатов измерений. Часть 3. Промежуточные показатели прецизионности стандартного метода измерения] |
[3] | ISO 5725-6, Accuracy (trueness and precision) of measurement methods and results - Part 6: Usein practice of accuracy values [Точность (правильность и прецизионность) методов и результатов измерений. Часть 6. Использование значений точности на практике] |
[4] | ISO 24333, Cereals and cereal products - Sampling (Зерновые и зерновые продукты. Отбор проб) |
[5] | ISO 27971, Cereals and cereal products - Common wheat (Triticum aestivum L.) - Determination of alveograph properties of dough at constant hydration from commercial or test flours and test milling methodology [Зерно и продукты его переработки. Пшеница обыкновенная (Triticum aestivum L.). Определение альвеографических характеристик теста, приготовленного из товарных или опытных сортов муки с водой и лабораторный способ помола] |
[6] | NF V03-765, |
[7] | Directive BIPEA BY.102.D.9302, Laboratory experimental milling for common wheat (http://www.bipea.org/) |
УДК 664.761:641.562:006.354 | МКС 67.060 | IDT |
Ключевые слова: мягкая пшеница, "миксолаб", реологические свойства, испытание, водопоглощение, момент силы теста | ||
Электронный текст документа
и сверен по:
, 2016