allgosts.ru67.060 Зерновые, бобовые и продукты их переработки67 ПРОИЗВОДСТВО ПИЩЕВЫХ ПРОДУКТОВ

ГОСТ 21094-2022 Изделия хлебобулочные. Методы определения влажности

Обозначение:
ГОСТ 21094-2022
Наименование:
Изделия хлебобулочные. Методы определения влажности
Статус:
Действует
Дата введения:
01.07.2023
Дата отмены:
Заменен на:
Код ОКС:
67.060

Текст ГОСТ 21094-2022 Изделия хлебобулочные. Методы определения влажности


ГОСТ 21094-2022

МЕЖГОСУДАРСТВЕННЫЙ СТАНДАРТ

ИЗДЕЛИЯ ХЛЕБОБУЛОЧНЫЕ

Методы определения влажности

Bakery products. Methods of the moisture determination

МКС 67.060

Дата введения 2023-07-01

Предисловие

Цели, основные принципы и общие правила проведения работ по межгосударственной стандартизации установлены ГОСТ 1.0 "Межгосударственная система стандартизации. Основные положения" и ГОСТ 1.2 "Межгосударственная система стандартизации. Стандарты межгосударственные, правила и рекомендации по межгосударственной стандартизации. Правила разработки, принятия, обновления и отмены"

Сведения о стандарте

1 РАЗРАБОТАН Федеральным государственным автономным научным учреждением "Научно-исследовательский институт хлебопекарной промышленности" (ФГАНУ НИИХП)

2 ВНЕСЕН Межгосударственным техническим комитетом по стандартизации МТК 003 "Хлебобулочные и макаронные изделия"

3 ПРИНЯТ Межгосударственным советом по стандартизации, метрологии и сертификации (протокол от 30 сентября 2022 г. N 154-П)

За принятие проголосовали:

Краткое наименование страны по МК (ИСО 3166) 004-97

Код страны по МК (ИСО 3166) 004-97

Сокращенное наименование национального органа по стандартизации

Азербайджан

AZ

Азстандарт

Армения

AM

ЗАО "Национальный орган по стандартизации и метрологии" Республики Армения


Беларусь

BY

Госстандарт Республики Беларусь


Казахстан

KZ

Госстандарт Республики Казахстан


Киргизия

KG

Кыргызстандарт


Россия

RU

Росстандарт


Узбекистан

UZ

Узстандарт

(Поправка. ИУС N 7-2023).

4 Приказом Федерального агентства по техническому регулированию и метрологии от 13 октября 2022 г. N 1128-ст межгосударственный стандарт ГОСТ 21094-2022 введен в действие в качестве национального стандарта Российской Федерации с 1 июля 2023 г.

5 ВЗАМЕН ГОСТ 21094-75

Информация о введении в действие (прекращении действия) настоящего стандарта и изменений к нему на территории указанных выше государств публикуется в указателях национальных стандартов, издаваемых в этих государствах, а также в сети Интернет на сайтах соответствующих национальных органов по стандартизации.

В случае пересмотра, изменения или отмены настоящего стандарта соответствующая информация будет опубликована на официальном интернет-сайте Межгосударственного совета по стандартизации, метрологии и сертификации в каталоге "Межгосударственные стандарты"

ВНЕСЕНА поправка, опубликованная в ИУС N 7, 2023 год

Поправка внесена изготовителем базы данных

1 Область применения

Настоящий стандарт распространяется на хлебобулочные изделия и устанавливает гравиметрические методы определения влажности (далее - массовая доля влаги) путем высушивания пробы изделия в сушильном шкафу и ускоренным способом - с использованием анализатора влажности (влагомера).

Метод высушивания пробы изделия в сушильном шкафу применяется при возникновении разногласий в оценке качества.

2 Нормативные ссылки

В настоящем стандарте использованы нормативные ссылки на следующие межгосударственные стандарты:

ГОСТ 12.0.004 Система стандартов безопасности труда. Организация обучения безопасности труда. Общие положения

ГОСТ 12.1.004 Система стандартов безопасности труда. Пожарная безопасность. Общие требования

ГОСТ 12.1.005 Система стандартов безопасности труда. Общие санитарно-гигиенические требования к воздуху рабочей зоны

ГОСТ 12.1.019 Система стандартов безопасности труда. Электробезопасность. Общие требования и номенклатура видов защиты

ГОСТ 12.2.007.0 Система стандартов безопасности труда. Изделия электротехнические. Общие требования безопасности

ГОСТ 12.4.009 Система стандартов безопасности труда. Пожарная техника для защиты объектов. Основные виды. Размещение и обслуживание

ГОСТ 12.4.021 Система стандартов безопасности труда. Системы вентиляционные. Общие требования

ГОСТ 450 Кальций хлористый технический. Технические условия

ГОСТ 3145 Часы механические с сигнальным устройством. Общие технические условия

ГОСТ 5667 Хлеб и хлебобулочные изделия. Правила приемки, методы отбора образцов, методы определения органолептических показателей и массы изделий

ГОСТ 9846 Хлебцы хрустящие. Технические условия

ГОСТ 11270 Изделия хлебобулочные. Соломка. Общие технические условия

ГОСТ 25336 Посуда и оборудование лабораторные стеклянные. Типы, основные параметры и размеры

ГОСТ 27752 Часы электронно-механические кварцевые настольные, настенные и часы-будильники. Общие технические условия

ГОСТ 30317 Изделия хлебобулочные сухарные. Общие технические условия

_______________

В Российской Федерации действует ГОСТ Р 54645-2011.

ГОСТ 32124 Изделия хлебобулочные бараночные. Общие технические условия

ГОСТ 32677 Изделия хлебобулочные. Термины и определения

ГОСТ OIML R 76-1 Государственная система обеспечения единства измерений. Весы неавтоматического действия. Часть 1. Метрологические и технические требования. Испытания

Примечание - При пользовании настоящим стандартом целесообразно проверить действие ссылочных стандартов и классификаторов на официальном интернет-сайте Межгосударственного совета по стандартизации, метрологии и сертификации (www.easc.by) или по указателям национальных стандартов, издаваемым в государствах, указанных в предисловии, или на официальных сайтах соответствующих национальных органов по стандартизации. Если на документ дана недатированная ссылка, то следует использовать документ, действующий на текущий момент, с учетом всех внесенных в него изменений. Если заменен ссылочный документ, на который дана датированная ссылка, то следует использовать указанную версию этого документа. Если после принятия настоящего стандарта в ссылочный документ, на который дана датированная ссылка, внесено изменение, затрагивающее положение, на которое дана ссылка, то это положение применяется без учета данного изменения. Если ссылочный документ отменен без замены, то положение, в котором дана ссылка на него, применяется в части, не затрагивающей эту ссылку.

3 Термины и определения

В настоящем стандарте применены термины по ГОСТ 32677, а также следующий термин с соответствующим определением:

3.1 влажность хлебобулочного изделия: Массовая доля влаги в хлебобулочном изделии, выраженная в процентах.

4 Требования безопасности

4.1 Помещение, в котором проводят измерения, должно быть оборудовано общей приточно-вытяжной вентиляцией по ГОСТ 12.4.021.

4.2 Электробезопасность при работе с электроустановками - по ГОСТ 12.2.007.0 и по ГОСТ 12.1.019.

4.3 Организация обучения персонала безопасности труда - по ГОСТ 12.0.004.

4.4 Помещение лаборатории должно соответствовать требованиям пожарной безопасности по ГОСТ 12.1.004 и иметь средства пожаротушения по ГОСТ 12.4.009.

4.5 Содержание вредных веществ в воздухе рабочей зоны не должно превышать норм, установленных ГОСТ 12.1.005.

5 Условия проведения измерений

5.1 При подготовке и проведении измерений должны быть соблюдены следующие условия:

- температура окружающей среды

(21±5)°C;

- относительная влажность воздуха

до 85%.

5.2 К выполнению измерений и обработке результатов допускаются лица, имеющие профессиональное образование, освоившие настоящую методику, прошедшие обучение работе с приборами и соответствующий инструктаж по технике безопасности.

6 Отбор и подготовка проб

6.1 Оборудование, применяемое для пробоподготовки

К оборудованию, применяемому для пробоподготовки, относятся:

- весы неавтоматического действия по ГОСТ OIML R 76-1 высокого (II) класса точности с действительной ценой деления 0,01 г и нагрузкой не менее 200 г;

- доска разделочная;

- нож;

- терка или измельчитель механический, или измельчитель электрический;

- влагонепроницаемая емкость вместимостью от 200 до 500 см, герметично закрываемая пробкой или крышкой.

6.2 Отбор и подготовка проб бараночных изделий - по ГОСТ 32124.

6.3 Отбор и подготовка проб сухарных хлебобулочных изделий - по ГОСТ 30317.

6.4 Отбор и подготовка проб хлебцев хрустящих - по ГОСТ 9846.

6.5 Отбор и подготовка проб соломки, хлебных палочек - по ГОСТ 11270.

6.6 Отбор проб хлебобулочных изделий - по ГОСТ 5667.

6.7 Подготовка проб хлебобулочных изделий

6.7.1 Пробы мякиша используют для определения массовой доли влаги в мякише хлебобулочных изделий как показателя качества на соответствие требованиям документов по стандартизации и/или нормативных документов, в соответствии с которыми производится и может быть идентифицирована продукция.

Пробы целого изделия с коркой используют для определения массовой доли влаги в целых хлебобулочных изделиях (кроме изделий с начинками), для расчета показателей пищевой ценности готовой продукции.

Пробы целого изделия, у которого отсутствует корка, используют как для определения массовой доли влаги в целых хлебобулочных изделиях как показателя качества на соответствие требованиям документов по стандартизации и/или нормативных документов, в соответствии с которыми производится и может быть идентифицирована продукция, так и для расчета показателей пищевой ценности готовой продукции.

6.7.2 При подготовке проб мякиша хлебобулочных изделий массой более 0,2 кг, отобранных по 6.6, целые изделия разрезают пополам по ширине и со стороны среза отрезают кусок (ломоть) массой от 70 до 130 г, у которого срезают корки и подкорочный слой общей толщиной от 8 до 12 мм.

У образца, состоящего из части изделия, срезают заветренную часть, делая сплошной срез толщиной от 4 до 8 мм. Затем отрезают кусок массой от 70 до 130 г, у которого срезают корки и подкорочный слой общей толщиной от 8 до 12 мм.

Для изделий в нарезанном виде берут несколько кусков (ломтей) общей массой от 70 до 130 г [заветренные куски (ломти) и горбушки не используют], срезают корки и подкорочный слой общей толщиной от 8 до 12 мм.

Удаляют все включения (виноград сушеный, орехи и др., кроме мака, зерен и продуктов переработки зерна) и начинку. Масса выделенной пробы должна быть не менее 20 г. Масса выделенной пробы хлебобулочных изделий с добавлением зерен и продуктов переработки зерна, сохранивших внешний вид и сопоставимых по размеру с зернами (например, пророщенное зерно), объемом от 3 мм, должна быть не менее 50 г.

6.7.3 При подготовке проб мякиша из хлебобулочных изделий массой 0,2 кг и менее, отобранных по 6.6, из средней части вырезают ломоть толщиной не менее 3 см, срезают корки и подкорочный слой общей толщиной от 8 до 12 мм.

У образца, состоящего из части изделия, срезают заветренную часть, делая сплошной срез толщиной от 4 до 8 мм. Затем отрезают ломоть толщиной не менее 3 см, у которого срезают корки и подкорочный слой общей толщиной от 8 до 12 мм.

Удаляют все включения (виноград сушеный, орехи и др., кроме мака, зерен и продуктов переработки зерна) и начинку. Масса выделенной пробы должна быть не менее 20 г. Масса выделенной пробы хлебобулочных изделий с добавлением зерен и продуктов переработки зерна, сохранивших внешний вид, объемом от 3 мм, должна быть не менее 50 г. В случае невозможности выделить пробу с требуемой массой допускается выделение пробы из нескольких изделий, отобранных по 6.6, при этом, если размер изделия не позволяет отрезать ломоть толщиной не менее 3 см, допускается отрезать ломти толщиной менее 3 см, если размер и форма изделия не позволяют отделить корки и подкорочный слой общей толщиной от 8 до 12 мм, допускается отделять корки и подкорочный слой общей толщиной менее 8 мм.

6.7.4 При подготовке проб хлебобулочных изделий, отобранных по 6.6 для определения массовой доли влаги в целом изделии, изделие разрезают на четыре равные части. Для измерения используют одну часть.

У образцов, состоящих из части изделия, отрезают ломоть с заветренной стороной, делая сплошной срез так, чтобы оставшаяся часть представляла собой половину целого изделия, при этом толщина среза не должна быть меньше 4 мм. У образцов, представляющих собой половину целого изделия, срезают заветренную сторону, делая сплошной срез толщиной от 4 до 6 мм. Оставшуюся часть разрезают на две равные части. Для измерения используют одну часть.

Для изделий в нарезанном виде берут группу ломтей, образующих половину изделия (заветренный ломоть не используют), и разрезают на две равные части. Для измерения используют одну часть.

Из хлебобулочных изделий округлой формы допускается вырезать сегмент таким образом, чтобы линии среза проходили через центр изделия.

Масса выделенной пробы должна быть не менее 50 г. В случае невозможности выделить пробу с требуемой массой допускается использовать в качестве пробы половину изделия, целое изделие или несколько изделий, отобранных по 6.6.

6.7.5 Подготовленную по 6.7.2-6.7.4 пробу быстро и тщательно измельчают ножом, или теркой, или механическим измельчителем, или электрическим измельчителем, помещают во влагонепроницаемую емкость вместимостью от 200 до 500 см, перемешивают и плотно закрывают крышкой.

6.7.6 При измельчении проб изделий с влажностью свыше 20% может происходить несущественная потеря влаги. Рекомендации по учету этой потери влаги при использовании результатов измерений в научно-исследовательской деятельности представлены в приложении А.

7 Определение массовой доли влаги гравиметрическим методом путем высушивания пробы изделия в сушильном шкафу

7.1 Сущность метода

Метод основан на испарении влаги из навески хлебобулочного изделия в сушильном шкафу при температуре 130°C в течение определенного времени. После высушивания определяют массовую долю влаги по отношению разности масс навески до и после высушивания к массе навески до высушивания.

Метод применим в диапазоне измерений влажности от 1% до 60%.

7.2 Средства измерений, вспомогательное оборудование, посуда, инструменты и материалы

К ним относятся:

- шкаф сушильный электрический с принудительной вентиляцией, обеспечивающий поддержание режима температуры сушки от 100°C до 140°C с погрешностью поддержания температуры сушки ±2°C. Мощность нагрева должна быть такой, чтобы сушильный шкаф, отрегулированный на температуру (130±2)°C, мог восстановить заданную температуру не более чем через 10 мин после загрузки максимального числа проб (при полной загрузке рабочей зоны высушивания);

_______________

Например, электрические шкафы марки СЭШ-1 или СЭШ-3М. Данная информация приведена для удобства пользователей настоящего стандарта и не исключает возможности использования другого оборудования с аналогичными характеристиками.

- нож;

- терка, или механический измельчитель, или электрический измельчитель;

- бюксы металлические с крышками с внутренними размерами: диаметр - от 43 мм; высота - от 20 мм;

- весы неавтоматического действия по ГОСТ OIML R 76-1 высокого (II) класса точности с действительной ценой деления 0,01 г и нагрузкой не менее 200 г;

- эксикатор исполнения 2-100 (140, 190) по ГОСТ 25336;

- часы по ГОСТ 27752 или ГОСТ 3145;

- щипцы тигельные;

- кальций хлористый технический по ГОСТ 450.

Допускается применение других средств измерений, вспомогательного оборудования, посуды, инструментов и материалов, не уступающих вышеуказанным по метрологическим и техническим характеристикам.

7.3 Подготовка к измерению

Открытые бюксы и крышки к ним помещают в сушильный шкаф, предварительно нагретый до температуры 130°C и выдерживают при этой температуре около 20 мин. После высушивания бюксы прикрывают крышками, помещают на 30 мин в эксикатор с осушителем, затем бюксы с крышками взвешивают. Продолжительность нахождения бюксов в эксикаторе должна быть не более 2 ч.

7.4 Проведение измерения

7.4.1 Из подготовленной по 6.2-6.5, 6.7 пробы быстро берут две навески по (5,00±0,05) г в предварительно подготовленные по 7.3 бюксы. Для повторных измерений оставшуюся пробу хранят при комнатной температуре в плотно закрытой влагонепроницаемой емкости по 6.7.5.

7.4.2 Навески в открытых бюксах и крышки к ним помещают в сушильный шкаф. При этом крышки бюксов подкладывают под дно бюксов. Навески высушивают при температуре 130°C в течение времени, приведенного в таблице 1. Отсчет продолжительности высушивания начинают с момента загрузки и до момента выгрузки бюксов. По истечении времени сушки бюксы выгружают из сушильного шкафа с использованием тигельных щипцов.

Таблица 1 - Продолжительность высушивания

Виды изделий

Продолжительность высушивания, мин

Хлебобулочные изделия пониженной влажности, а также хлебобулочные изделия с влажностью мякиша до 50% включительно

45

Хлебобулочные изделия с влажностью мякиша свыше 50% до 55% включительно

60

Хлебобулочные изделия с влажностью мякиша свыше 55%

90

Примечание - Для более ровного высушивания навесок в сушильных шкафах марки СЭШ-1 в процессе сушки производят двух-, трехкратный поворот диска с бюксами, в шкафу марки СЭШ-3М диск вращается автоматически с включением основного нагрева. Высушивание в шкафах марки СЭШ-1 и СЭШ-3М проводят при полной загрузке шкафа, для этого в свободные ячейки помещают пустые бюксы.

7.4.3 После окончания высушивания бюксы с навесками прикрывают крышками и сразу помещают в эксикатор не менее чем на 30 мин, а затем взвешивают. Время нахождения бюксов в эксикаторе должно составлять не более 2 ч.

7.5 Обработка результатов

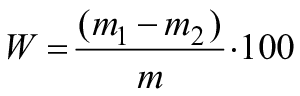
7.5.1 Массовую долю влаги в изделиях (W), %, вычисляют по формуле

, (1)

где - масса бюкса с крышкой и навеской до высушивания, г;

- масса бюкса с крышкой и навеской после высушивания, г;

m - масса навески изделия до высушивания, г.

7.5.2 Результат записывают до второго десятичного знака с последующим округлением до первого десятичного знака, причем доли до 0,25 включительно отбрасывают; доли свыше 0,25 и до 0,75 включительно приравнивают к 0,5; доли свыше 0,75 приравнивают к единице.

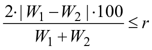
7.5.3 За окончательный результат принимают среднее арифметическое результатов двух параллельных определений, выполненных одним оператором при анализе одной и той же пробы на одном и том же оборудовании и в минимально возможный промежуток времени, если расхождение между ними не превышает предела повторяемости при доверительной вероятности P=0,95.

, (2)

где , - результаты параллельных измерений массовой доли влаги в пробе, %;

r - значение предела повторяемости, выраженное в относительных величинах (см. табл.2).

7.5.4 При превышении предела повторяемости испытание повторяют. При повторном превышении указанного норматива выясняют причины, приводящие к неудовлетворительным результатам, и устраняют их.

7.5.5 Проводят проверку приемлемости результатов измерений, полученных в условиях воспроизводимости. Расхождение между результатами измерений, выполненных в условиях воспроизводимости (в разное время, разными операторами, в разных лабораториях), не должно превышать предела воспроизводимости (R) (таблица 2).

, (3)

где , - результаты измерений, выполненных в условиях воспроизводимости (разное время, разные операторы, разные лаборатории), %;

R - предел воспроизводимости (таблица 2), %.

Таблица 2 - Метрологические характеристики гравиметрического метода определения массовой доли влаги путем высушивания в сушильном шкафу при доверительной вероятности P=0,95, выраженные в относительных величинах

Наименование определяемого показателя

Диапазон измере-

ния массовой доли влаги, %

, %, стандарт-

ное отклоне-

ние повторяе-

мости

r, %, предел повторяе-

мости

, %, стандарт-

ное отклоне-

ние воспроиз-

води-

мости

R, %, предел воспроиз-

води-

мости

, %, погреш-

ность метода

Массовая доля влаги изделий пониженной влажности

От 1,0 до 19,0 включ.

9,2

25,5

12,5

34,6

25,0

Массовая доля влаги целых хлебобулочных изделий с коркой с влажностью более 19%

От 19,0 до 60,0 включ.

5,1

14,1

7,0

19,4

14,0

Массовая доля влаги мякиша хлебобулочных изделий с влажностью мякиша более 20%

От 20,0 до 60,0 включ.

4,5

12,5

6,2

17,2

12,5

Относительная погрешность метода при доверительной вероятности P=0,95 численно равна расширенной неопределенности при коэффициенте охвата k=2, представленной в таблице 2.

7.6 Оформление результатов

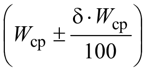
Результат анализа представляют в виде: , %, при доверительной вероятности P=0,95,

где - среднее арифметическое результатов определений, признанных приемлемыми, %;

- значение погрешности метода измерений, % (см. таблицу 2).

8 Определение массовой доли влаги ускоренным гравиметрическим методом высушивания пробы изделия в анализаторе влажности (влагомере)

8.1 Сущность метода

Метод основан на высушивании навески хлебобулочного изделия в анализаторе влажности (влагомере) при температуре 130°C до постоянной массы. После высушивания прибор автоматически определяет массовую долю испарившейся влаги по отношению разности масс навески до и после высушивания к массе навески до высушивания.

Метод применим в диапазоне измерений массовой доли влаги свыше 19% до 60% включительно. Метод не применим для хлебобулочных изделий пониженной влажности (сухарей, хлебцев, соломки и бараночных изделий, за исключением бубликов).

8.2 Средства измерений, вспомогательное оборудование, посуда, инструменты

К ним относятся:

- влагомер термогравиметрический инфракрасный или анализатор влажности со следующими основными характеристиками:

а) цена наименьшего разряда в единицах массовой доли влаги - 0,01%;

б) источник инфракрасного излучения - нагреватель в металлической оболочке (ТЭН);

в) наибольший предел взвешивания взвешивающего устройства - до 150 г;

г) цена наименьшего разряда в единицах массы - не более 0,001 г;

д) диапазон задаваемых температур сушки - не менее чем от 50°C до 160°C;

е) дискретность задаваемых температур сушки - 1°C;

- нож, терка, или механический измельчитель, или электрический измельчитель;

- влагонепроницаемая емкость вместимостью от 200 до 500 см, герметично закрываемая пробкой или крышкой.

Допускается применение других средств измерений, вспомогательного оборудования, посуды, инструментов и материалов, не уступающих вышеуказанным по метрологическим и техническим характеристикам.

8.3 Проведение измерения

8.3.1 Измерение проводят в соответствии с руководством по эксплуатации анализатора влажности (влагомера) при температуре сушки 130°C, если в руководстве по эксплуатации влагомера нет иных указаний.

8.3.2 В чашку из комплекта влагомера равномерно размещают навеску пробы, подготовленной по 6.7, массой от 5 до 6 г, ориентируясь по показаниям электронного табло влагомера. Равномерно распределяют пробу по поверхности чашки и запускают выбранную программу сушки.

8.3.3 Проводят высушивание до постоянной массы (в автоматическом режиме сушки) в соответствии с руководством по эксплуатации на влагомер.

8.4 Обработка результатов

8.4.1 Определение убыли массы навески в процессе сушки, математическая обработка и вычисление массовой доли влаги осуществляются автоматически влагомером с выдачей результата единичного определения массовой доли влаги на электронном табло влагомера.

8.4.2 В качестве результата измерения массовой доли влаги принимают среднее арифметическое результатов двух параллельных определений.

Примечание - С учетом специфики конструкции влагомера за параллельные определения принимают последовательно, с интервалом в 3-5 мин, проведенные определения массовой доли влаги в навесках одной и той же пробы.

8.4.3 Результат измерения массовой доли влаги записывают до второго десятичного знака с последующим округлением до первого десятичного знака.

8.4.4 Проверку приемлемости результатов измерений, полученных в условиях повторяемости и воспроизводимости, проводят по 7.5.3-7.5.5. Предел повторяемости r, предел воспроизводимости R, погрешность метода при доверительной вероятности P=0,95 представлены в таблице 3.

Таблица 3 - Метрологические характеристики ускоренного гравиметрического метода высушивания в анализаторе влажности (влагомере) при доверительной вероятности P=0,95, выраженные в относительных величинах

Наименование определяемого показателя

Диапазон измере-

ния массовой доли влаги, %

, %, стандарт-

ное отклоне-

ние повторяе-

мости

r, %, предел повторяе-

мости

, %, стандарт-

ное отклоне-

ние воспроиз-

води-

мости

R, %, предел воспроиз-

води-

мости

, %, погреш-

ность метода

Влажность мякиша хлебобулочных изделий

От 19,0 до 60,0 включ.

5,0

13,9

7,0

19,4

14,0

Влажность целого хлебобулочного изделия с коркой

От 19,0 до 60,0 включ.

6,0

16,6

8,2

22,7

16,5

Относительная погрешность метода при доверительной вероятности P=0,95 численно равна расширенной неопределенности при коэффициенте охвата k=2, представленной в таблице 3.

8.5 Оформление результатов

Результат анализа представляют в виде: , %, при доверительной вероятности P=0,95,

где - среднее арифметическое определений, признанных приемлемыми, %;

- значение погрешности метода измерений, % (см. таблицу 3).

9 Контроль точности результатов измерений

9.1 Контроль погрешности результатов измерений проводится с использованием методики сравнения. Роль средств контроля выполняют рабочие пробы. В качестве методики сравнения выбирают гравиметрический метод (высушивания) в соответствии с разделом 7.

Контроль погрешности результатов измерений массовой доли влаги с применением методики сравнения состоит в сравнении результатов контрольных измерений одной и той же пробы, полученных на анализаторе влажности (влагомере), , и по методике сравнения - гравиметрическому методу - .

Результат контрольной процедуры - оценку погрешности результата измерений массовой доли влаги , % рассчитывают по формуле

, (4)

где - среднее арифметическое определений и .

Результат контрольной процедуры признают удовлетворительным, если

, (5)

где - границы относительной погрешности подконтрольного метода, % (см. таблицу 3);

- границы относительной погрешности методики сравнения, % (см. таблицу 2).

При невыполнении условия (5) повторяют измерения с использованием другой пробы. При повторном невыполнении условия (5) выясняют причины, приводящие к неудовлетворительным результатам, и устраняют их.

При появлении стандартных образцов утвержденного типа хлеба и хлебобулочных изделий с аттестованным значением массовой доли влаги для контроля погрешности предпочтительнее применять стандартные образцы.

9.2 Результаты измерений, полученные при контроле погрешности результатов измерений, могут быть использованы при реализации контроля стабильности результатов измерений массовой доли влаги, получаемых при реализации методов, регламентированных настоящим стандартом.

9.3 Контроль стабильности результатов измерений массовой доли влаги рекомендуется проводить с использованием карт Шухарта в соответствии с рекомендациями [1]. Процедуры контроля и их периодичность указывают в соответствующем Руководстве по качеству лаборатории.

Приложение А

(рекомендуемое)

Определение потери влаги в процессе пробоподготовки

При измельчении проб изделий с влажностью свыше 20% может происходить несущественная потеря влаги. Рекомендуется учитывать эту потерю. Для этого необходимо взвесить пробу до измельчения, измельчить, тщательно перемешать и взвесить размолотую пробу, по разности масс определить потерю влаги по формуле

, (А.1)

где - потеря влаги при измельчении, %;

- масса пробы до измельчения, г;

- масса пробы после измельчения, г.

Определенную таким образом массовую долю испарившейся при измельчении влаги необходимо прибавить к результату, полученному при высушивании навески в сушильном шкафу или влагомере в соответствии с 7.4 и 8.3.

Библиография

[1]

РМГ 76-2014

Государственная система обеспечения единства измерений. Внутренний контроль качества результатов количественного химического анализа

УДК 664.66:006.354

МКС 67.060


Ключевые слова: хлебобулочные изделия, методы определения влажности, сушильный шкаф, анализатор влажности (влагомер)

Редакция документа с учетом
изменений и дополнений подготовлена