ГОСТ ISO 24443-2016
МЕЖГОСУДАРСТВЕННЫЙ СТАНДАРТ
ПРОДУКЦИЯ КОСМЕТИЧЕСКАЯ СОЛНЦЕЗАЩИТНАЯ
Метод определения in vitro величины защитного фактора от ультрафиолетового излучения спектра А
Products cosmetic sun protection. Determination of value sunscreen UVA protection factor in vitro
МКС 71.100.70
Дата введения 2025-01-01
с правом досрочного применения
Предисловие
Цели, основные принципы и общие правила проведения работ по межгосударственной стандартизации установлены ГОСТ 1.0 "Межгосударственная система стандартизации. Основные положения" и ГОСТ 1.2 "Межгосударственная система стандартизации. Стандарты межгосударственные, правила и рекомендации по межгосударственной стандартизации. Правила разработки, принятия, обновления и отмены"
Сведения о стандарте
1 ПОДГОТОВЛЕН научно-производственным республиканским унитарным предприятием "Белорусский государственный институт стандартизации и сертификации" (БелГИСС) на основе собственного перевода на русский язык англоязычной версии стандарта, указанного в пункте 5
2 ВНЕСЕН Госстандартом Республики Беларусь
3 ПРИНЯТ Межгосударственным советом по стандартизации, метрологии и сертификации по результатам голосования в АИС МГС (протокол от 27 июля 2016 г. № 89-П)
За принятие проголосовали:
Краткое наименование страны по МК (ИСО 3166) 004-97 | Код страны по МК (ИСО 3166) 004-97 | Сокращенное наименование национального органа по стандартизации |
Армения | AM | ЗАО "Национальный орган по стандартизации и метрологии" Республики Армения |
Беларусь | BY | Госстандарт Республики Беларусь |
Казахстан | KZ | Госстандарт Республики Казахстан |
Киргизия | KG | Кыргызстандарт |
Россия | RU | Росстандарт |
Таджикистан | TJ | Таджикстандарт |
4 Приказом Федерального агентства по техническому регулированию и метрологии от 25 января 2024 г. № 64-ст межгосударственный стандарт ГОСТ ISO 24443-2016 введен в действие в качестве национального стандарта Российской Федерации с 1 января 2025 г. с правом досрочного применения.
5 Настоящий стандарт идентичен международному стандарту ISO 24443:2012* "Определение in vitro степени фотозащиты от ультрафиолетовых лучей спектра А солнцезащитных средств" ("Determination of sunscreen UVA photoprotection in vitro", IDT).
Международный стандарт разработан техническим комитетом по стандартизации ISO/TC 217 "Косметика" Международной организации по стандартизации (ISO).
Наименование настоящего стандарта изменено относительно наименования указанного международного стандарта для приведения в соответствие с ГОСТ 1.5-2001 (подраздел 3.6)
6 ВВЕДЕН ВПЕРВЫЕ
Информация о введении в действие (прекращении действия) настоящего стандарта и изменений к нему на территории указанных выше государств публикуется в указателях национальных стандартов, издаваемых в этих государствах, а также в сети Интернет на сайтах соответствующих национальных органов по стандартизации.
В случае пересмотра, изменения или отмены настоящего стандарта соответствующая информация будет опубликована на официальном интернет-сайте Межгосударственного совета по стандартизации, метрологии и сертификации в каталоге "Межгосударственные стандарты"
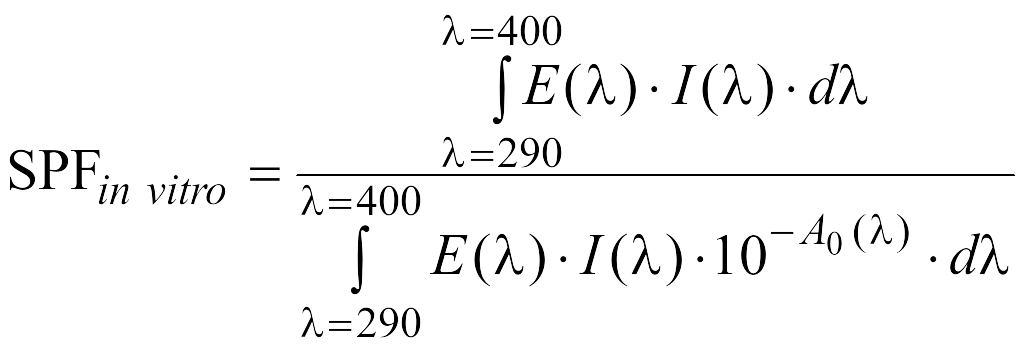
1 Область применения
Настоящий стандарт устанавливает метод (in vitro) определения величины защитного фактора от ультрафиолетового излучения спектра А (UVA излучения) солнцезащитной продукции.
Метод настоящего стандарта позволяет получить кривую спектрального поглощения, с помощью которой можно провести ряд вычислений и оценок. Они включают определение защитного фактора от ультрафиолетовых лучей спектра А (UVAPF) [который коррелируется с UVAPF, полученным методом (in vivo) "стойкого потемнения пигмента" (PPD)], критической длины волны и линейной зависимости UVA поглощения. Определение данных показателей требуется в том случае, если это предусмотрено национальным законодательством по маркировке солнцезащитной продукции.
Метод настоящего стандарта основывается на использовании результатов in vivo определения солнцезащитного фактора (SPF) для масштабирования кривой поглощения ультрафиолетового (UV) излучения.
Настоящий стандарт не распространяется на порошкообразную продукцию такую, как компактная и рассыпчатая пудра.
2 Термины и определения
В настоящем стандарте применены следующие термины с соответствующими определениями.
2.1 защитный фактор от ультрафиолетового излучения спектра А, определенный методом in vitro (in vitro UVA protection factor, UVAPF): Коэффициент защиты солнцезащитной продукции от UVA излучения, который может быть получен математически при in vitro спектральном моделировании.
Примечание - См. библиографические ссылки [1] и [2].
Примечание - См. библиографические ссылки [3] и [4].
Пример - От 290 нм до 400 нм - интенсивность UVA+UVB излучения; от 320 нм до 400 нм - интенсивность UVA излучения.
2.8 спектрофотометр (spectrophotometer): Прибор, который измеряет свойства поглощения (или пропускания) испытуемой среды в зависимости от длины волны.
2.9 спектрорадиометр (spectroradiometer): Прибор, который измеряет спектральную плотность интенсивности падающего излучения (интенсивности в ваттах на единицу площади на нанометр) электромагнитных источников.
Примечание - В настоящем стандарте спектр ограничивается ультрафиолетовым, видимым и коротким инфракрасным диапазонами.
2.10 радиометр (radiometer): Прибор, который измеряет интенсивность излучения в широком диапазоне частот (интенсивность в ваттах на единицу площади) электромагнитных источников.
Примечание - В настоящем стандарте спектр ограничивается ультрафиолетовым, видимым и коротким инфракрасным диапазонами.
3 Сущность метода
Метод основан на оценке коэффициента пропускания UV излучения тонким слоем солнцезащитной продукции, распределенной по шероховатой подложке, до и после воздействия регулируемой дозой излучения, генерируемой определенным источником UV излучения. Из-за некоторых параметров, которые нельзя контролировать с помощью обычных тонкопленочных спектроскопических методов, каждый набор данных о коэффициенте пропускания солнцезащитной продукции математически коррелируется таким образом, чтобы данные in vitro определения SPF были такими же, как и при измерении значения SPF методом in vivo. Затем образцы подвергают воздействию определенной измеренной дозы UV излучения для определения характеристик фотостабильности исследуемой продукции. Получающиеся в результате данные спектрального поглощения показывают, что они являются полезными для представления о защитных свойствах тестируемой солнцезащитной продукции от UVA излучения. Процедура математического моделирования была получена эмпирическим путем, чтобы установить соотношение с результатами, получаемыми методом in vivo (стойкое потемнение пигмента) с участием человека.
4 Аппаратура
4.1 Технические требования к UV спектрофотометру
Диапазон длин волн UV спектрофотометра должен охватывать диапазон 290 нм - 400 нм. Шаг увеличения длины волны должен составлять 1 нм.
UV спектрофотометр, не оснащенный монохроматором, позади испытуемого образца должен быть оборудован фильтром, подавляющим флуоресценцию.
Примечание - UV спектрофотометр используют для измерения свойств поглощения солнцезащитной продукции, нанесенной на испытательные пластины. Спектрорадиометр используют для измерения распределения спектральной энергии и интенсивности UV излучения источника или UV спектрофотометра во время измерения поглощения солнцезащитной продукции, нанесенной на испытательные пластины.
4.2 Калибровка UV спектрофотометра
UV спектрофотометр необходимо проверять через постоянные интервалы времени (рекомендуемая периодичность проверки - каждый месяц) путем измерения эталонных материалов.
Проверку проводят согласно приложению A, контролируя:
- динамический диапазон UV спектрофотометра;
- линейность UV спектрофотометра;
- точность длины волны.
4.3 Калибровка источника UV излучения
Спектральная плотность интенсивности падающего излучения на плоскости экспонирования источника UV излучения, который используется для облучения (с учетом любой фотонестабильности) должна быть по своему значению как можно ближе к интенсивности излучения на уровне земли при стандартном положении солнца в зените [5], как определено в соответствии с [6] или [7]. Интенсивность UV излучения должна находиться в следующих допустимых пределах (измеренных на расстоянии от образца).
Таблица 1 - Технические характеристики источника UV излучения
Характеристики источника УФ излучения, измеряемые спектрорадиометром | |
Общая интенсивность UV излучения (290 нм - 400 нм) | 40 Вт/м - 200 Вт/м |
Соотношение интенсивности UVA и UVB излучения | 8:22 |
320 нм - 400 нм. 290 нм - 320 нм. | |
Источник UV излучения должен поддерживать температуру испытуемых образцов в пределах от 25°C до 35°C. Важно, чтобы была измерена температура самого образца, а не температура окружающей среды. Для поддержания температуры испытуемых образцов, меньшей или равной 35°C, следует применять систему фильтров, которая значительно уменьшает ИК-излучение, для достижения указанного температурного диапазона. Для поддержания температуры испытуемых пластин с нанесенной продукцией ниже 35°C должны применяться охлаждающие лотки или вентиляторы, а для поддержания температуры образцов, равной или превышающей 25°С, используют нагревающие устройства.
4.4 Контроль источника UV излучения
UV излучение источника, воздействующего на испытуемые образцы, должно проверяться на соответствие установленным допустимым пределам квалифицированным специалистом не реже чем через каждые 18 мес, или после 3000 ч работы лампы. Проверка должна проводиться при помощи спектрорадиометра, откалиброванного посредством стандартного источника света, имеющего прослеживаемость к национальному или международному калибровочному эталону. В дополнение к проверке с помощью спектрорадиометра следует проверять интенсивность источника UV излучения перед каждым использованием. Данная проверка может проводиться при помощи спектрорадиометра либо радиометра, чувствительного к UVA излучению, откалиброванного для такого же спектра источника UV излучения, какой используется при проведении испытания на стадии экспонирования, применяя калибровочный коэффициент для корректировки расхождений показаний UVA радиометра и образцового спектрорадиометра.
4.5 Калибровка UVA радиометра, используемого для контроля облучения испытуемого образца
UVA радиометр (в случае его использования) должен быть соответствующим образом откалиброван при помощи спектрорадиометра, применяемого для измерения излучения источника (как при ежегодной калибровке имитатора солнечного излучения). Калибровка должна проводиться в диапазоне UVA излучения (от 320 нм до 400 нм) и на том же уровне, как при экспонировании испытательных пластин. После калибровки с использованием спектрорадиометра UVA радиометр может использоваться для определения доз UV излучения, которыми будут воздействовать во время ежедневных процедур облучения. В приложении B пошагово изложена процедура калибровки.
4.6 Подложка/пластина
5 Метод испытания
5.1 Описание методики проведения испытания
5.1.1 Проводят калибровку и проверку испытательного оборудования, в том числе, UV спектрофотометра, используемого для измерения коэффициента пропускания/поглощения, и UVA радиометра (или спектрорадиометра), используемого для измерения UV излучения источника, а также проверяют пропускающую способность испытательных пластин, как описано в Приложении D.
5.1.2 Проводят пробные измерения пластины, обработанной глицерином, для контрольной "холостой пробы", результаты которых будут использоваться при последующих измерениях поглощения.
5.1.6 Воздействуют рассчитанной дозой (D) UV излучения на тот же образец, что и в 5.1.3.
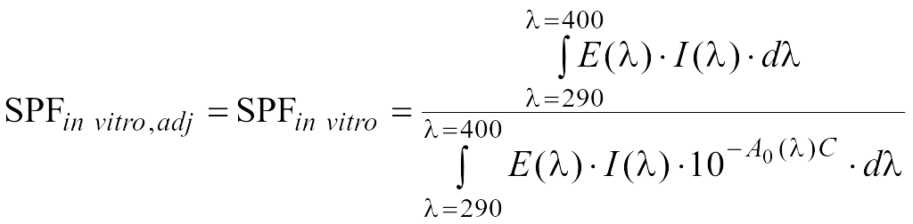
5.1.8 Проводят аналитическое уравнивание второго спектра поглощения (после воздействия UV излучением) путем умножения на коэффициент "C", предварительно определенный в 5.1.4. Полученная в результате кривая поглощения представляет собой окончательные скорректированные значения поглощения.
Примечание - Для вычислений должны использоваться значения поглощения UV излучения.
5.2 Калибровка оборудования и проверка пластин для испытаний
Процедуры, описанные в приложении A, проводят для проверки точности установки длины волны, линейности и пределов диапазона поглощения UV спектрофотометра/спектрорадиометра, применяемого для проведения испытаний. Также должна проводиться оценка показателей PMMA пластин в соответствии с приложением D.
5.3 Расчет коэффициента поглощения пластины сравнения
Примечание - Многие спектрофотометры имеют функции "базовое значение" и автоматически учитывают данное базовое значение в расчетах при последующих измерениях поглощения.
5.4 Приготовление образцов
Солнцезащитную продукцию наносят большим количеством мелких капель приблизительно одинакового объема, которые распределяют равномерно по всей поверхности пластины. Не рекомендуется применять резиновый напальчник для нанесения продукции на пластину. Кончик пальца, которым наносят продукцию на пластину, окунают в испытуемую продукцию, затем удаляют ее избыток, аккуратно вытирая палец, перед тем, как нанести продукцию на пластину. Кончик пальца, используемого для нанесения, необходимо очищать перед нанесением продукции другого наименования.
После нанесения солнцезащитной продукции на поверхность пластины ее сразу же необходимо распределить кончиком пальца непосредственно по всей поверхности легкими мазками (не используя резиновый напальчник). Продукцию распределяют в два этапа. Сначала продукцию распределяют по всей поверхности как можно быстрее (менее чем за 30 с) небольшими круговыми движениями с минимальным давлением. Затем продукцию втирают в поверхность пластины чередующимися горизонтальными и вертикальными мазками с умеренно повышенным давлением. Второй этап должен занять от 20 до 30 с.
Подготовленный образец должен сохнуть не менее 30 мин в темноте при температуре, при которой будет проводиться UV облучение (т.е. если воздействие источника UV излучения будет осуществляться при 35°C, то температура сушки также должна составлять 35°C; или если воздействие источника UV излучения будет при 25°C, то температура сушки также должна составлять 25°C).
5.5 Измерение поглощения пластины с нанесенной продукцией
Пластину с нанесенной продукцией помещают на оптическом пути источника излучения UV спектрофотометра, поглощение UV излучения образца определяется для каждой длины волны в диапазоне от 290 нм до 400 нм с шагом 1 нм. Поглощение каждой пластины может определяться один или несколько раз (при необходимости), в последнем случае за результат определения принимают среднее арифметическое значение всех измерений.
5.6 Количество определений
Для получения достоверных результатов, характеризующих защитные свойства испытуемой продукции, испытанию подвергают не менее четырех пластин с нанесенной солнцезащитной продукцией. Дополнительные пластины с продукцией следует использовать, если 95%-ный доверительный интервал (CI) превышает 17% от среднего значения величины UVAPF, до тех пор, пока 95%-ный CI не станет меньше 17% от среднего значения UVAPF. Методика расчета изложена в приложении F.

5.7.2 Определение значения "C"

Для корректной интерпретации величина "С", как правило, находится в пределах от 0,8 до 1,6. Если "С" находится за пределами данного диапазона, должны быть подготовлены новые образцы для проверки исходных эмпирических данных. Величина "С" для эталонной продукции S2 также должна находиться в пределах от 0,8 до 1,6 или методика проведения испытания должна быть изменена для получения корректного значения.

C - поправочный коэффициент, определенный ранее по формуле (2);
5.7.4 Определение дозы воздействия UV излучением
Образец обрабатывают полным спектром UV излучения, но доза определяется только UVA частью спектра.
5.8 Воздействие UV излучением
ПРЕДУПРЕЖДЕНИЕ - Персонал, работающий с данной системой облучения должен быть соответствующим образом защищен от воздействия UV излучения (очки, перчатки и т.д.).
Подвергают воздействию UV излучения испытуемые пластины. Во время воздействия температура образцов должна поддерживаться в диапазоне от 25°C до 35°C и равняться температуре, при которой проводился процесс сушки. РММА пластины должны быть установлены поверх неотражающей UV излучение подложки, которая должна находиться позади каждой пластины, чтобы снизить обратное экспонирование. Необходимо убедиться, что источник UV излучения не отключается при размещении образцов под лампой (в случае отключения, при перезапуске, обеспечивают такое же испускаемое излучение, какое было до выключения лампы).
5.9 Измерение окончательного откорректированного спектра поглощения
После UV воздействия повторно измеряют поглощение испытуемых образцов, измерение проводят в тех же местах, в каких проводились измерения перед воздействием UV излучением (см. 5.5). Окончательные значения поглощения должны равняться значениям поглощения, полученным после UV воздействия, умноженным на коэффициент "С", определенный в 5.7.2.
5.10 Вычисление значения UVAPF пластин после UV облучения образца
UVAPF вычисляют по формуле (5) для каждой отдельной пластины, используя результат однократного испытания пластины или среднее значение нескольких результатов испытаний данной пластины.

C - поправочный коэффициент, определенный ранее по формуле (2);
Другие показатели, характеризующие солнцезащитные свойства продукции, также могут быть вычислены с помощью окончательной кривой поглощения (см. 5.9).
6 Обработка результатов испытаний с помощью электронных таблиц
6.1 Вычисления, приведенные в 5.1.4-5.1.8, могут выполняться автоматически при помощи электронных таблиц, описанных в настоящем стандарте, посредством следующих операций.
6.2 Вводят наименование продукции, дату, данные, идентифицирующие оператора и SPF in vivo испытуемой продукции, тип спектрального анализатора, тип источника UV излучения, исходную интенсивность излучения источника UVA излучения, а также поправочный коэффициент интенсивности излучения "Y" (см. Приложение B) в соответствующие ячейки электронной таблицы на вкладке "Начинайте здесь".
6.3 Измеряют и вводят полученные значения поглощения до воздействия UV излучением первых четырех пластин с нанесенной продукцией в соответствующие ячейки электронной таблицы на вкладках "Пластина # 0". Нажимают на кнопку "ОК, данные введены, переход к следующему этапу" после каждого ввода.
6.4 Интенсивность UV излучения во время воздействия и время воздействия записывают на вкладке "Результаты #" для каждой отдельной пластины.
6.5 Воздействуют излучением на пластину с нанесенной солнцезащитной продукцией в течение заданного времени для получения соответствующей дозы UV излучения для каждой пластины.
6.6 Измеряют поглощение каждой из пластин. Измерения, проводимые после воздействия UV излучением, должны выполняться в том же месте (или местах), где проводились измерения поглощения до воздействия UV излучением.
6.7 Вводят результаты испытаний после воздействия UV излучением для каждой пластины в соответствующие ячейки таблицы на вкладке "Пластина # UV". Нажимают на кнопку "ОК, данные введены, переход к следующему этапу".
6.8 На вкладке таблицы "РЕЗУЛЬТАТЫ (Пластина #)" будут показаны данные результатов для каждой отдельной пластины.
6.9 Когда введение всех данных для первых четырех пластин будет завершен, появится вкладка таблицы "Отчет", в которой будут представлены обобщенные результаты для испытуемого образца. Если значение UVAPF при 95% CI составляет менее 17% от среднего значения UVAPF, никаких дополнительных пластин не требуется, а окончательные результаты будут представлены в графической форме и в виде таблиц. В противном случае, должны быть последовательно добавлены дополнительные образцы, как описано выше. Появятся дополнительные листы для ввода данных дополнительных пластин, которые заполняются, как указано выше, пока не будет обеспечено соответствие критерию испытания.
7 Эталонная солнцезащитная продукция S2
Контроль метода проводят посредством эталонной солнцезащитной продукции. Для этой цели должна быть использована эталонная солнцезащитная продукция S2, описанная в приложении E.
Результаты испытаний UVAPF эталонной продукции S2 должны находиться в пределах диапазона, указанного ниже (таблица 2), определенного при проведении in vivo испытаний; в противном случае испытание считается недействительным и его следует повторить. SPF, равный 16, должен использоваться в качестве значения SPF in vivo для эталонной продукции S2 при дальнейших вычислениях.
Периодичность испытаний эталонной продукции S2 устанавливается в соответствии с внутренними документами пользователя и/или ISO/IEC 17025.
Таблица 2 - Предельные значения результатов испытания UVAPF
Параметр | Нижний предел | Верхний предел |
UVAPF | 10,7 | 14,7 |
8 Протокол испытаний
Протокол испытания по определению спектра поглощения солнцезащитной продукции должен содержать следующую информацию:
a) описание используемого оборудования, его изготовителя и модель прибора со сводными данными о системе калибровки, приведенными в настоящем межгосударственном стандарте в соответствии с форматом, указанным в А.6;
b) калибровочный коэффициент "Y", используемый для корректировки результатов измерения источника излучения UVA радиометра стандартным спектрорадиометром (4.5 и B.3.10);
c) сведения об изготовителе пластин и номере (коде) партии;
d) среднее значение поглощения UV излучения для каждой длины волны в заданном диапазоне длин волн (шаг длины волны 1 нм) испытуемого образца (может быть предусмотрена графа для значения поглощения до и после воздействия UV излучением);
e) указание измеренного методом in vivo солнцезащитного фактора (SPF), используемого для вычислений;
f) коэффициент "С";
h) исходные данные об эталонной солнцезащитной продукции S2 с указанием даты проведения ее испытания;
i) идентификационные данные испытуемой продукции;
j) информацию о лице, проводившем испытание;
k) могут быть представлены результаты дополнительных вычислений, полученных на основании значений поглощения [см. 8 d)].
Приложение A
(обязательное)
Калибровка UV спектрометра и испытание на пропускание пластины
A.1 Общие положения
В данном приложении установлены требования к точности длины волны, линейности и динамическому диапазону UV-спектрофотометра. Для большей ясности и в целях стандартизации формата протокола электронные таблицы рассматриваются как часть настоящего стандарта.
A.2 Точность длины волны
A.2.1 Гольмиево-оксидный фильтр
Толщина фильтра не должна превышать 3 мм, содержание оксида гольмия должно быть в количестве, достаточном для обеспечения абсолютной калибровки длины волны с использованием пика поглощения при длине волны, равной 361 нм.
A.2.2 Метод
A.2.2.1 Помещают гольмиево-оксидный фильтр на пути образца и измеряют поглощение излучения в диапазоне от 290 до 430 нм. Проводят измерения относительно воздуха на оптическом пути "холостого" образца. Измерение повторяют трижды. Накапливают данные и значения поглощения в закладке "Точность длины волны с использованием гольмиевого фильтра" в приведенной ниже электронной таблице "UVSpectcalib.xls" в колонках B-D. Нажимают на кнопку с назначенным макросом в ячейке "P28", чтобы активировать функцию проверки пика. Результаты автоматически отобразятся в сводном листе калибровки системы, приведенном в настоящем стандарте (см. рисунок A.2), и будут аналогичны результатам, показанным на рисунке A.1.
A.2.2.2 Отклонения длины волны от стандартного значения в UV диапазоне прибора не должны превышать 1 нм. Пример спектра калибровки показан на графике ниже. Отчетная длина волны пика должна быть 360, 361 или 362, либо прибор должен быть откалиброван для получения одного из данных значений длин волн.
![]() |
X - длина волны (нм); Y - поглощение
Рисунок A.1 - При установке гольмиево-оксидного фильтра
A.3 Линейность
A.3.1 Стандартные пластины
Пластины вырезают из большого листа UV стабилизированного полиметилметакрилата (PMMA) (обеспечивающего одинаковые оптические свойства для каждой пластины), полученного стандартным методом литья. Пластины изготавливают таким образом, чтобы соответствовать спектрам поглощения наиболее распространенной солнцезащитной продукции. Процесс литья позволяет обеспечивать достаточно однородное распределение UV поглощающего материала по отношению к пленке испытуемой эмульсии, наносимой вручную.
Благодаря стабильному и стандартизованному поглощению, а также свойствам диффузного рассеяния данные пластины очень удобны в качестве "стандартных эмульсий", используемых для проверки и сравнения приборов, используемых для определения методом in vitro степени UV защиты, для внутри- и межлабораторных целей.
A.3.2 Оценка линейности
Выбирают две прозрачные UV стабилизированные PMMA стандартные пластины. Пик поглощения этих стандартных пластин при длине волны 340 нм должен быть в пределах 1,1 и 1,5 единиц поглощения (AU).
Обозначают первую пластину как Слайд A и помещают ее на оптическом пути в UV спектрофотометра. Проводят измерения относительно воздуха на незаполненном оптическом пути. Проводят измерения в двух повторностях (от 290 до 380 нм) и вводят данные в таблицу на вкладке "Испытание на линейность", ячейки B8:C98.
Обозначают вторую пластину как Слайд B и помещают ее на оптическом пути UV спектрофотометра. Проводят измерение относительно воздуха на незаполненном оптическом пути. Проводят измерение в двух повторностях и вводят данные в таблицу на вкладке "Испытание на линейность", ячейки D8:E98. Совмещают оба слайда (A и B) верхними шероховатыми сторонами друг к другу и измеряют общее поглощение (при длине волн от 290 до 380 нм). Измерение проводят относительно воздуха на незаполненном оптическом пути. Проводят измерение в 4 повторностях и вводят данные в таблицу на вкладке "Испытание на линейность", ячейки F8:I98. Результаты автоматически появятся в сводном листе калибровки системы, приведенном в настоящем стандарте (см. рисунок A.2).
A.4 Определение предельного динамического диапазона поглощения
Электронная таблица также позволяет вычислить максимальный предельный диапазон поглощения UV спектрофотометра, основанный на отклонении результатов измерений двух пластин. Если отклонение превышает 0,1 АU, определяется предельный динамический диапазон, и результаты автоматически появляются в сводном листе калибровки системы, приведенном в настоящем стандарте (см. рисунок A.2). Минимальный диапазон составляет 2,2 AU.
А.5 Характеристика испытательных PMMA пластин
А.5.1 Основные положения
Пластины из PMMA, используемые в качестве подложки при испытаниях солнцезащитной продукции, должны отвечать минимальным требованиям пропускания.
А.5.2 Метод
Устанавливают базовую линию UV спектрофотометра с пустыми ячейками (без образца). Наносят кончиком пальца приблизительно 15 мг глицерина или модифицированного раствора глицерина на шероховатую поверхность PMMA пластины. Удаляют излишки глицерина на пластине кончиком пальца. Устанавливают подготовленную пластину в позицию для измерений и измеряют поглощение (или % пропускания) пластины. Записывают и вводят данные в таблицу на вкладке "Пропускание пластины" в соответствующем столбце B для значений поглощения или столбце C для значений % пропускания. Пластина должна иметь пропускание >60% при 290 нм, >69% при 300 нм и >81% при 320 нм. Результаты автоматически отображаются в сводном листе калибровки системы, приведенном в настоящем стандарте, как показано на рисунке A.2.
A.6 Запись результатов
Результаты калибровки должны записываться в формате, указанном в электронной таблице "Сводные результаты".
![]() |
![]() |
X - длина волны (нм); Y - поглощение
Рисунок A.2 - Сводный лист калибровки системы (1 из 2)
![]() |
Рисунок A.2 - Сводный лист калибровки системы (2 из 2)
Приложение B
(обязательное)
Процедура калибровки радиометра
B.1 Цель процедуры калибровки
Целью процедуры является калибровка радиометра, используемого для измерения источника UV излучения, с целью воздействия точными дозами излучения при проверке фотостабильности солнцезащитной продукции методом in vitro.
B.2 Краткое описание процедуры
Измерение интенсивности излучения спектрорадиометра сначала проводится в UV диапазоне источника излучения (290 нм - 400 нм). Перекрестно калиброванный датчик UVA радиометра помещают в ту же позицию экспонирования, что и спектрорадиометр, и проводят измерение интенсивности излучения на плоскости экспонирования. Используя данные об интенсивности излучения спектрорадиометра, энергию на каждой длине волны с интервалом 1 нм интегрируют в диапазоне от 320 до 400 нм, чтобы получить интенсивность UVA излучения спектрорадиометра. Интенсивность UVA излучения спектрорадиометра делят на значение интенсивности излучения, измеренное с помощью UVA радиометра, для получения коэффициента калибровки, Y, который применяется для умножения всех последующих результатов измерений источника UVA излучения, используемого в данной процедуре, UVA радиометром.
B.3 Поэтапная процедура
B.3.1 Необходимо использовать спектрорадиометр с действующей калибровкой, имеющий прослеживаемость со стандартным источником излучения в диапазоне 290 нм - 400 нм.
B.3.2 Устанавливают базовую оптику спектрорадиометра в соответствующее положение в плоскости экспонирования испытуемых PMMA пластин.
B.3.3 Включают источник UV излучения и дают ему прогреться в течение не менее 20 мин.
B.3.4 Сканируют спектральную плотность интенсивности излучения источника с помощью спектрорадиометра в диапазоне 290 нм - 400 нм с последовательным увеличением длины волны на 1 нм.
B.3.6 Отводят датчик спектрорадиометра от источника излучения.
B.3.7 Помещают UVA радиометр, подлежащий калибровке, в то же положение, что и спектрорадиометр так, чтобы калибруемая контрольная матрица радиометра находилась в том же положении, что и базовая оптика спектрорадиометра, облучаемая источником UV излучения.
B.3.9 Вычисляют коэффициент калибровки следующим образом:
B.3.10 Последующие результаты измерения источника UV излучения с помощью UVA радиометра умножают на коэффициент Y для получения скорректированной интенсивности UVA излучения.
B.3.11 Поправочный коэффициент калибровки Y можно ввести непосредственно в электронную таблицу испытания методом in vitro настоящего стандарта. Исходное значение радиометра (без учета поправочного коэффициента) также вводят в эту таблицу для вычисления скорректированной интенсивности UV излучения.
Приложение C
(обязательное)
Значения, используемые для вычислений: спектры действия PPD, спектры эритемного действия, спектральная интенсивность излучения UVA и UV-SSR
Таблица C1 - Спектры действия PPD, спектры эритемного действия, спектральная интенсивность излучения UVA и UV-SSR
Длина волны, нм | Спектр действия PPD | Спектр эритемного действия | Источник UV-SSR, Вт/м /нм | Источник UVA излучения, Вт/м /нм |
290 | - | 1,0000Е+00 | 8,741Е-06 | - |
291 | - | 1,0000Е+00 | 1,450Е-05 | - |
292 | - | 1,0000Е+00 | 2,659Е-05 | - |
293 | - | 1,0000Е+00 | 4,574Е-05 | - |
294 | - | 1,0000Е+00 | 1,006Е-04 | - |
295 | - | 1,0000Е+00 | 2,589Е-04 | - |
296 | - | 1,0000Е+00 | 7,035Е-04 | - |
297 | - | 1,0000Е+00 | 1,678Е-03 | - |
298 | - | 1,0000Е+00 | 3,727Е-03 | - |
299 | - | 8,0538Е-01 | 7,938Е-03 | - |
300 | - | 6,4863Е-01 | 1,478Е-02 | - |
301 | - | 5,2240Е-01 | 2,514Е-02 | - |
302 | - | 4,2073Е-01 | 4,176Е-02 | - |
303 | - | 3,3884Е-01 | 6,223Е-02 | - |
304 | - | 2,7290Е-01 | 8,690Е-02 | - |
305 | - | 2,1979Е-01 | 1,216Е-01 | - |
306 | - | 1,7701Е-01 | 1,615Е-01 | - |
307 | - | 1,4256Е-01 | 1,989Е-01 | - |
308 | - | 1,1482Е-01 | 2,483Е-01 | - |
309 | - | 9,2470Е-02 | 2,894Е-01 | - |
310 | - | 7,4473Е-02 | 3,358Е-01 | - |
311 | - | 5,9979Е-02 | 3,872Е-01 | - |
312 | - | 4,8306Е-02 | 4,311Е-01 | - |
313 | - | 3,8905Е-02 | 4,884Е-01 | - |
314 | - | 3,1333Е-02 | 5,121Е-01 | - |
315 | - | 2,5235Е-02 | 5,567Е-01 | - |
316 | - | 2,0324Е-02 | 5,957Е-01 | - |
317 | - | 1,6368Е-02 | 6,256Е-01 | - |
318 | - | 1,3183Е-02 | 6,565Е-01 | - |
319 | - | 1,0617Е-02 | 6,879Е-01 | - |
320 | 1,000Е+00 | 8,5507Е-03 | 7,236Е-01 | 4,843Е-06 |
321 | 9,750Е-01 | 6,8865Е-03 | 7,371Е-01 | 8,466Е-06 |
322 | 9,500Е-01 | 5,5463Е-03 | 7,677Е-01 | 1,356Е-05 |
323 | 9,250Е-01 | 4,4668Е-03 | 7,955Е-01 | 2,074Е-05 |
324 | 9,000Е-01 | 3,5975Е-03 | 7,987Е-01 | 3,032Е-05 |
325 | 8,750Е-01 | 2,8973Е-03 | 8,290Е-01 | 4,294Е-05 |
326 | 8,500Е-01 | 2,3335Е-03 | 8,435Е-01 | 5,738Е-05 |
327 | 8,250Е-01 | 1,8793Е-03 | 8,559Е-01 | 7,601Е-05 |
328 | 8,000Е-01 | 1,5136Е-03 | 8,791Е-01 | 9,845Е-05 |
329 | 7,750Е-01 | 1,4125Е-03 | 8,951Е-01 | 1,215Е-04 |
330 | 7,500Е-01 | 1,3646Е-03 | 9,010Е-01 | 1,506Е-04 |
331 | 7,250Е-01 | 1,3183Е-03 | 9,161Е-01 | 1,811Е-04 |
332 | 7,000Е-01 | 1,2735Е-03 | 9,434Е-01 | 2,132Е-04 |
333 | 6,750Е-01 | 1,2303Е-03 | 9,444Е-01 | 2,444Е-04 |
334 | 6,500Е-01 | 1,1885Е-03 | 9,432Е-01 | 2,833Е-04 |
335 | 6,250Е-01 | 1,1482Е-03 | 9,571 Е-01 | 3,186Е-04 |
336 | 6,000Е-01 | 1,1092Е-03 | 9,663Е-01 | 3,589Е-04 |
337 | 5,750Е-01 | 1,0715Е-03 | 9,771Е-01 | 3,980Е-04 |
338 | 5,500Е-01 | 1,0351Е-03 | 9,770Е-01 | 4,387Е-04 |
339 | 5,250Е-01 | 1,0000Е-03 | 9,967Е-01 | 4,778Е-04 |
340 | 5,000Е-01 | 9,6605Е-04 | 9,939Е-01 | 5,198Е-04 |
341 | 4,938Е-01 | 9,3325Е-04 | 1,007Е+00 | 5,608Е-04 |
342 | 4,876Е-01 | 9,0157Е-04 | 1,012Е+00 | 5,998Е-04 |
343 | 4,814Е-01 | 8,7096Е-04 | 1,011Е+00 | 6,384Е-04 |
344 | 4,752Е-01 | 8,4140Е-04 | 1,021Е+00 | 6,739Е-04 |
345 | 4,690Е-01 | 8,1283Е-04 | 1,025Е+00 | 7,123Е-04 |
346 | 4,628Е-01 | 7,8524Е-04 | 1,033Е+00 | 7,468Е-04 |
347 | 4,566Е-01 | 7,5858Е-04 | 1,034Е+00 | 7,784Е-04 |
348 | 4,504Е-01 | 7,3282Е-04 | 1,040Е+00 | 8,180Е-04 |
349 | 4,442Е-01 | 7,0795Е-04 | 1,027Е+00 | 8,427Е-04 |
350 | 4,380Е-01 | 6,8391Е-04 | 1,045Е+00 | 8,754Е-04 |
351 | 4,318Е-01 | 6,6069Е-04 | 1,042Е+00 | 9,044Е-04 |
352 | 4,256Е-01 | 6,3826Е-04 | 1,040Е+00 | 9,288Е-04 |
353 | 4,194Е-01 | 6,1660Е-04 | 1,039Е+00 | 9,486Е-04 |
354 | 4,132Е-01 | 5,9566Е-04 | 1,043Е+00 | 9,733Е-04 |
355 | 4,070Е-01 | 5,7544Е-04 | 1,046Е+00 | 9,863Е-04 |
356 | 4,008Е-01 | 5,5590Е-04 | 1,035Е+00 | 1,009Е-03 |
357 | 3,946Е-01 | 5,3703Е-04 | 1,039Е+00 | 1,028Е-03 |
358 | 3,884Е-01 | 5,1880Е-04 | 1,027Е+00 | 1,045Е-03 |
359 | 3,822Е-01 | 5,0119Е-04 | 1,035Е+00 | 1,062Е-03 |
360 | 3,760Е-01 | 4,8417Е-04 | 1,037Е+00 | 1,078Е-03 |
361 | 3,698Е-01 | 4,6774Е-04 | 1,025Е+00 | 1,086Е-03 |
362 | 3,636Е-01 | 4,5186Е-04 | 1,023Е+00 | 1,098Е-03 |
363 | 3,574Е-01 | 4,3652Е-04 | 1,016Е+00 | 1,095Е-03 |
364 | 3,512Е-01 | 4,2170Е-04 | 9,984Е-01 | 1,100Е-03 |
365 | 3,450Е-01 | 4,0738Е-04 | 9,960Е-01 | 1,100Е-03 |
366 | 3,388Е-01 | 3,9355Е-04 | 9,674Е-01 | 1,093Е-03 |
367 | 3,326Е-01 | 3,8019Е-04 | 9,648Е-01 | 1,087Е-03 |
368 | 3,264Е-01 | 3,6728Е-04 | 9,389Е-01 | 1,082Е-03 |
369 | 3,202Е-01 | 3,5481Е-04 | 9,191Е-01 | 1,071Е-03 |
370 | 3,140Е-01 | 3,4277Е-04 | 8,977Е-01 | 1,048Е-03 |
371 | 3,078Е-01 | 3,3113Е-04 | 8,725Е-01 | 1,026Е-03 |
372 | 3,016Е-01 | 3,1989Е-04 | 8,473Е-01 | 9,953Е-04 |
373 | 2,954Е-01 | 3,0903Е-04 | 8,123Е-01 | 9,703Е-04 |
374 | 2,892Е-01 | 2,9854Е-04 | 7,840Е-01 | 9,367Е-04 |
375 | 2,830Е-01 | 2,8840Е-04 | 7,416Е-01 | 9,057Е-04 |
376 | 2,768Е-01 | 2,7861Е-04 | 7,148Е-01 | 8,757Е-04 |
377 | 2,706Е-01 | 2,6915Е-04 | 6,687Е-01 | 8,428Е-04 |
378 | 2,644Е-01 | 2,6002Е-04 | 6,280Е-01 | 8,058Е-04 |
379 | 2,582Е-01 | 2,5119Е-04 | 5,863Е-01 | 7,613Е-04 |
380 | 2,520Е-01 | 2,4266Е-04 | 5,341Е-01 | 7,105Е-04 |
381 | 2,458Е-01 | 2,3442Е-04 | 4,925Е-01 | 6,655Е-04 |
382 | 2,396Е-01 | 2,2646Е-04 | 4,482Е-01 | 6,115Е-04 |
383 | 2,334Е-01 | 2,1878Е-04 | 3,932Е-01 | 5,561Е-04 |
384 | 2,272Е-01 | 2,1135Е-04 | 3,428Е-01 | 4,990Е-04 |
385 | 2,210Е-01 | 2,0417Е-04 | 2,985Е-01 | 4,434Е-04 |
386 | 2,148Е-01 | 1,9724Е-04 | 2,567Е-01 | 3,876Е-04 |
387 | 2,086Е-01 | 1,9055Е-04 | 2,148Е-01 | 3,363Е-04 |
388 | 2,024Е-01 | 1,8408Е-04 | 1,800Е-01 | 2,868Е-04 |
389 | 1,962Е-01 | 1,7783Е-04 | 1,486Е-01 | 2,408Е-04 |
390 | 1,900Е-01 | 1,7179Е-04 | 1,193Е-01 | 2,012Е-04 |
391 | 1,838Е-01 | 1,6596Е-04 | 9,403Е-02 | 1,640Е-04 |
392 | 1,776Е-01 | 1,6032Е-04 | 7,273Е-02 | 1,311Е-04 |
393 | 1,714Е-01 | 1,5488Е-04 | 5,532Е-02 | 1,028Е-04 |
394 | 1,652Е-01 | 1,4962Е-04 | 4,010Е-02 | 7,897Е-05 |
395 | 1,590Е-01 | 1,4454Е-04 | 2,885Е-02 | 5,975Е-05 |
396 | 1,528Е-01 | 1,3964Е-04 | 2,068Е-02 | 4,455Е-05 |
397 | 1,466Е-01 | 1,3490Е-04 | 1,400Е-02 | 3,259Е-05 |
398 | 1,404Е-01 | 1,3032Е-04 | 9,510Е-03 | 2,302Е-05 |
399 | 1,342Е-01 | 1,2589Е-04 | 6,194Е-03 | 1,581Е-05 |
400 | 1,280Е-01 | 1,2162Е-04 | 4,172Е-03 | 1,045Е-05 |
Приложение D
(обязательное)
Показатели поверхности испытательных PMMA пластин
D.1 Тип испытательной пластины
PMMA пластины с шероховатой поверхностью, полученной в процессе литья, со следующими показателями (диапазоном верхних и нижних предельных значений) были выбраны для данного in vitro метода испытания в результате круговых межлабораторных иcпытаний.
D.2 Профиль поверхности подложки
D.3 Параметры профиля пластины
PMMA пластины можно подготовить в процессе литья, чтобы они имели параметры поверхности, удовлетворяющие требованиям при измерении соответствующими приборами [9]:
Таблица D.1 - Заданные значения, верхние и нижние предельные значения
Показатель | Ra | |||||
Заданное значение | 4,853 | 13,042 | 11,122 | 239,750 | 0,033 | 1,044Е-06 |
Верхнее предельное значение | 5,170 | 13,669 | 12,411 | 284,256 | 0,046 | 1,663Е-06 |
Нижнее предельное значение | 4,535 | 12,414 | 9,833 | 195,244 | 0,020 | 4,248Е-07 |
D.4 Оптические характеристики пластины
D.4.1 Требования к коэффициенту пропускания (см. A.5)
Коэффициент пропускания представительных образцов от каждой партии PMMA пластин определяют, чтобы обеспечить их соответствие техническим требованиям. Профилированную поверхность испытуемой пластины необходимо обработать чистым глицерином или раствором модифицированного глицерина, приведенными в таблице D.2.
Таблица D.2 - Раствор модифицированного глицерина
Ингредиент | % |
Глицерин BP/USP/JP | 90,0 |
Раствор лаурилсульфата натрия (водный раствор с массовой долей 1%) | 10,0 |
D.4.2 Метод
D.4.2.1 Подготавливают стандартную PMMA пластину, нанося приблизительно 15 мг чистого глицерина или раствора модифицированного глицерина в виде тонкой непрерывной пленки на шероховатую сторону пластины. Слайд должен быть прозрачным после обработки. Удаляют излишек глицерина кончиком пальца.
D.4.2.2 Помещают пластину на оптическом пути UV спектрофотометра. Измеряют коэффициент пропускания (от 290 до 400 нм) относительно воздуха, используемого в качестве стандартного оптического пути.
D.4.3 Минимальные значения пропускания
Предельные значения пропускания обработанной пластиной:
290 нм: >60% Т.
300 нм: >69% Т.
320 нм: >81% Т.
Приложение E
(обязательное)
Эталонная UVA солнцезащитная продукция S2
E.1 Среднее значение UVAPF и его допустимые предельные значения для эталонной солнцезащитной продукции S2
Среднее и допустимые предельные значения защитного фактора эталонной солнцезащитной продукции S2, используемой для контроля данного метода испытаний, приведены в таблице E.1.
Таблица E.1 - Средний UVAPF и его допустимые предельные значения для эталонной солнцезащитной продукции S2
Эталонная солнцезащитная продукция | Среднее значение | Среднее значение | Допустимые предельные значения | |
Состав | SPF | UVAPF | Нижнее предельное значение | Верхнее предельное значение |
S2 | 16,0 | 12,7 | 10,7 | 14,7 |
E.2 Рецептура и приготовление эталонной продукции S2
Рецептура и процедура приготовления, приведенные ниже, характеризуют количественный состав и процесс смешения ингредиентов эталонной солнцезащитной продукции S2, используемой для контроля метода испытания.
Таблица E.2 - Состав эталонной продукции S2
Ингредиенты | Масс. % от общей массы |
Фаза 1 (водная) | |
Вода | 62,43 |
Пропиленгликоль | 1,00 |
Ксантановая камедь | 0,60 |
Карбомер, например Carbopol Ultrez 10 | 0,15 |
Двунатриевая соль этилендиаминтетрауксусной кислоты | 0,08 |
Фаза 2 (масляная) | |
Октокрилен | 3,00 |
Бутил метоксидибензоилметан | 5,00 |
Этилгексил метоксициннамат | 3,00 |
Бис-этилгексилоксифенол | 2,00 |
Метоксифенил триазин | |
Цетиловый спирт | 1,00 |
Стеарет-21 | 2,50 |
Стеарет-2 | 3,00 |
Дикаприлил карбонат | 6,50 |
Децил кокоат | 6,50 |
Феноксиэтанол (и) | 1,00 |
Метилпарабен (и) | |
Этилпарабен (и) | |
Бутилпарабен (и) | |
Пропилпарабен (и) | |
Фаза 3 | |
Циклопентасилоксан | 2,00 |
Триэтаноламин | 0,23 |
Carbopol Ultrez 10 - пример подходящего продукта, имеющегося в продаже. Данная информация приводится для удобства пользователей настоящего документа и не означает, что ISO рекомендует именно это продукт. | |
E.3 Приготовление продукции
Процесс приготовления должен включать следующие пять этапов:
E.3.1 Нагревают до 75°C отдельно друг от друга смешанные ингредиенты фазы 1 и фазы 2.
E.3.2 Добавляют медленно масляную фазу 2 в водную фазу 1, перемешивая фазу 1.
E.3.3 Охлаждают смесь до 40°C, не прекращая перемешивание.
E.3.4 Добавляют ингредиенты фазы 3 в смесь фаз 1 и 2, не прекращая перемешивание.
E.3.5 Возмещают потерю воды и доводят смесь до однородного состояния.
E.4 Органолептические и физико-химические показатели
Солнцезащитная продукция S2 должна иметь следующие показатели:
E.4.1 Цвет: от белого до бледно-желтого.
E.4.2 pH: 6,5±0,5.
________________
E.5 Хранение и срок годности
Срок годности эталонной продукции S2 - 12 мес с даты изготовления, ее следует хранить при 20°C в стеклянном сосуде или плотно укупоренном пакете в защищенном от света месте.
E.6 Аналитические данные
E.6.1 Основные положения
Методика проверки эталонной солнцезащитной продукции S2 описана ниже.
E.6.2 Сущность метода
Отбирают пробу продукции гравиметрическим методом и растворяют в этаноле (в котором растворимы анализируемые ингредиенты). Фильтруют и анализируют раствор при помощи хроматографа, используя микропористую силикагелевую колонку, смесь воды и этанола в качестве подвижной фазы. Концентрации анализируемых ингредиентов в пробе определяют относительно смеси растворов внешних стандартов анализируемых ингредиентов.
E.6.3 Реактивы
Для определений используют следующие химические продукты и реактивы.
E.6.3.1 Абсолютированный этанол (для ВЭЖХ).
E.6.3.2 Вода высокой степени чистоты (для ВЭЖХ).
E.6.3.3 Фосфорная кислота, 85%, аналитической степени чистоты.
E.6.3.4 Этилгексил метоксициннамат.
E.6.3.5 Бутил метоксидибензоилметан.
E.6.3.6 Октокрилен.
E.6.3.7 Бис-этилгексилоксифенол-метоксифенил триазин.
E.7 Аппаратура (жидкостный хроматограф высокого давления)
Аппаратура, необходимая для проведения аналитических измерений активно действующих ингредиентов эталонной солнцезащитной продукции S2, включает следующее:
E.7.1 Инжектор, обеспечивающий впрыскивание пробы объемом 10,0 мкл.
________________
E.7.4 Элюент B, абсолютированный этанол (для ВЭЖХ).
E.7.5 УФ детектор, длина волны 312 нм.
E.7.6 Данные, т.е. количественно определенные площади пиков.
E.8 Методика
Для определения активно действующих ингредиентов эталонной солнцезащитной продукции S2 выполняют следующие операции.
E.8.1 Используя аналитические весы, взвешивают с точностью до 0,1 мг в мерной колбе вместимостью 25 мл приблизительно 50 мг эталонной продукции.
E.8.2 Доводят объем этанолом до метки.
E.8.3 Перемешивают при помощи вихревой мешалки и в случае, если продукция не растворяется, гомогенизируют в ультразвуковой бане до получения однородной консистенции.
E.8.4 Фильтруют через дисковый фильтр из поливинилиденфторида с размером отверстий 0,45 мкм.
E.8.5 Анализируют раствор пробы и смешанный рабочий раствор стандартов методом обращенно-фазовой высокоэффективной жидкостной хроматографии.
E.9 Контроль качества
Для проверки качества аналитического метода выполняют следующее.
E.9.1 Анализируют пробу подвижной фазы для ВЭЖХ и плацебо (при наличии), приготовленного в соответствии с E.8, методом обращенно-фазовой ВЭЖХ, чтобы подтвердить отсутствие мешающих хроматографических пиков.
E.9.2 Вводят рабочий раствор стандартов три раза в хроматограф и вычисляют коэффициент вариации площадей пиков анализируемых ингредиентов.
E.10 Вычисления
Процентное содержание анализируемого ингредиента вычисляют по следующей формуле:
где M - масса анализируемого ингредиента, мг;
P - масса пробы, мг;
h - площадь пика анализируемого ингредиента на хроматограмме пробы;
H - площадь пика анализируемого ингредиента на хроматограмме раствора стандартов.
E.11 Критерии приемки
Результаты аналитических определений являются приемлемыми при следующих условиях:
- выход составляет 95%-105% от количества, указанного в рецептуре;
- на хроматограмме пробы плацебо или подвижной фазы отсутствуют мешающие пики.
Приложение F
(справочное)
Статистические данные и вычисления
F.1 Определение защитного фактора от ультрафиолетового излучения спектра А отдельной пластины (UVAPFi)
UVAPFi каждой пластины вычисляют при помощи электронной таблицы:

F.2 Определение защитного фактора от ультрафиолетового излучения спектра А солнцезащитной продукции
Стандартное отклонение определяют по формуле (F.3):

F.3 Доверительный интервал 95%
Доверительный интервал 95% (95% CI) для среднего значения UVAPF определяют по формуле (F.4):
CI [%]=100·c/UVAPF, (F.6)
где SEM - стандартная ошибка среднего значения;
n - общее количество волонтеров, подвергнутых испытанию;
t - значение t от двустороннего t-распределения Стьюдента из таблицы F.1, при уровне вероятности p=0,05 и степенях свободы v=(n-1).
Таблица F.1 - Таблица двустороннего t-распределения Стьюдента
n | 4 | 5 | 6 | 7 | 8 | 9 | 10 |
значение t | 3,182 | 2,776 | 2,571 | 2,447 | 2,365 | 2,306 | 2,262 |
F.4 Экспериментальная методика расчета
F.4.1 Порядок выполнения испытания
F.4.2 Предполагаемое количество пластин,n*
Пример: Если n* вычисляют после того, как получены результаты оценки 10 субъектов, то:
т.е.
Библиография
[1] | ISO 17166 | "Erythema reference action spectrum and standard erythema dose" Стандартный спектр действия эритемы и стандартная эритемная доза |
[2] | McKinlay, AF. And Diffey, BL. A reference action spectrum for ultraviolet induced erythema in human skin. CIE J (1987) 6: pp.17-22 (Эталонный спектр действия эритемы на коже человека, вызванной ультрафиолетом. Журнал CIE 6 стр.17-22) | |
[3] | Сhardon, A., Moyal, D., Hourseau, C., PPD-Action Spectrum Persistent Pigment Darkening Response as a Method for Evaluation of Ultraviolet A Protection Assays in Sunscreens - Development, Evaluation, and Regulatory Aspects (1997) pp.559-582 | |
[4] | Moyal, D., Сhardon, A., Kollias, N., UVA protection efficacy of sunscreens can be determined by the persistent pigment darkening (PPD) method (part 2), Photodermatol Photoimmunol Photomed (2000) 16: pp.250-255 | |
[5] | Bernhard, G., Mayer, B., Seckmeyer, G., Moise, A., Measurement of spectral solar irradiance in tropical Australia, J. Geophys Res, (1997) 102: pp.8719-8730 | |
[6] | COLIPA (European Cosmetic Toiletry and Perfumery Association), SPF Test Method (1994) | |
[7] | DIN 67501 | Experimental in vivo evaluation of the protection from erythema of external sunscreen products for the human skin (Экспериментальная in vivo оценка защиты от эритемы наружных UVA солнцезащитных средств для кожи человека) |
[8] | ISO/TC 217/HU 7 | In vitro UVA Ring Test Report, 2009 (Протокол кругового испытания UVA In vitro) |
[9] | Pissavini, M., Marguerie, S., Dehais, A., Ferrero, L., and Zastrow, L., Characterizing Roughness: A New Substrate to Measure SPF Cosmet. Toiletries (2009) 9: pp.56-62 | |
[10] | Matts, P.J., et al., COLIPA in vitro UVA method: a standard and reproducible measure of sunscreen UVA protection, Int. J. Cosmet Sci., (2010): pp.35-46 | |
[11] | COLIPA (European Cosmetics Association) method for the in vitro d etermination of U VA protection provided by sunscreen products (2009) | |
[12] | ISO/IEC 17025 | General requirements for the competence of testing and calibration laboratories (Общие требования к оснащению испытательных и калибровочных лабораторий) |
________________
УДК 665.584.2(083.74)(476) | МКС 71.100.70 | IDT |
Ключевые слова: косметическая солнцезащитная продукция, метод определения in vitro величины защитного фактора от ультрафиолетового излучения спектра А | ||



