ГОСТ ISO 10130-2016
МЕЖГОСУДАРСТВЕННЫЙ СТАНДАРТ
ПРОДУКЦИЯ КОСМЕТИЧЕСКАЯ
Обнаружение и определение содержания N-нитрозодиэтаноламина (NDELA) методом высокоэффективной жидкостной хроматографии (HPLC), пост-колоночным фотолизом и получением производных
Cosmetics. Detection and determination of N-nitrosodiethanolamine (NDELA) by High-performance liquid chromatography (HPLC), post-column photolysis and derivatization
МКС 71.100.70
Дата введения 2025-01-01
с правом досрочного применения
Предисловие
Цели, основные принципы и общие правила проведения работ по межгосударственной стандартизации установлены ГОСТ 1.0 "Межгосударственная система стандартизации. Основные положения" и ГОСТ 1.2 "Межгосударственная система стандартизации. Стандарты межгосударственные, правила и рекомендации по межгосударственной стандартизации. Правила разработки, принятия, обновления и отмены"
Сведения о стандарте
1 ПОДГОТОВЛЕН научно-производственным республиканским унитарным предприятием "Белорусский государственный институт стандартизации и сертификации" (БелГИСС) на основе собственного перевода на русский язык англоязычной версии стандарта, указанного в пункте 5
2 ВНЕСЕН Госстандартом Республики Беларусь
3 ПРИНЯТ Межгосударственным советом по стандартизации, метрологии и сертификации по результатам голосования в АИС МГС (протокол от 25 мая 2016 г. N 88-П)
За принятие проголосовали:
Краткое наименование страны по МК (ИСО 3166) 004-97 | Код страны по МК (ИСО 3166) 004-97 | Сокращенное наименование национального органа по стандартизации |
Армения | AM | ЗАО "национальный орган по стандартизации и метрологии" Республики Армения |
Беларусь | BY | Госстандарт Республики Беларусь |
Казахстан | KZ | Госстандарт Республики Казахстан |
Киргизия | KG | Кыргызстандарт |
Россия | RU | Росстандарт |
Узбекистан | UZ | Узстандарт |
4 Приказом Федерального агентства по техническому регулированию и метрологии от 27 декабря 2023 г. N 1681-ст межгосударственный стандарт ГОСТ ISO 10130-2016 введен в действие в качестве национального стандарта Российской Федерации с 1 января 2025 г. с правом досрочного применения
5 Настоящий стандарт идентичен международному стандарту ISO 10130:2009* "Косметические средства. Аналитические методы. Нитрозамины. Обнаружение и определение N-нитрозодиэтаноламина (NDELA) в косметике методом жидкостной хроматографии высокого разрешения (HPLC), пост-колоночным фотолизом и получением производных" ["Cosmetics - Analytical methods - Nitrosamines. Detection and determination of N-nitrosodiethanolamine (NDELA) in cosmetics by HPLC, post-column photolysis and derivatization", IDT].
Международный стандарт разработан техническим комитетом по стандартизации ISO/TC 217 "Косметика" Международной организации по стандартизации (ISO).
Наименование настоящего стандарта изменено относительно наименования указанного международного стандарта для приведения в соответствие с ГОСТ 1.5-2001 (подраздел 3.6)
6 ВВЕДЕН ВПЕРВЫЕ
Информация о введении в действие (прекращении действия) настоящего стандарта и изменений к нему на территории указанных выше государств публикуется в указателях национальных стандартов, издаваемых в этих государствах, а также в сети Интернет на сайтах соответствующих национальных органов по стандартизации.
В случае пересмотра, изменения или отмены настоящего стандарта соответствующая информация будет опубликована на официальном интернет-сайте Межгосударственного совета по стандартизации, метрологии и сертификации в каталоге "Межгосударственные стандарты"
Введение
Окружающая среда, продукты питания, средства личной гигиены могут выступать в качестве источников N-нитрозаминов, с которыми непосредственно взаимодействует человек. В ходе исследований было выявлено, что N-нитрозамины проявляют потенциальную канцерогенную активность в отношении некоторых видов животных, в связи с чем минимизация воздействия N-нитрозаминов на организм человека признана одной из важнейших целей сохранения здоровья людей. Среди N-нитрозаминов N-нитрозодиэтаноламин (NDELA) признан в качестве потенциального загрязнителя косметической продукции.
В связи с этим было разработано несколько аналитических методов обнаружения и определения присутствия NDELA в косметической продукции. Примерами таких методов являются метод газовой хроматографии/термоэнергетический анализ, жидкостная хроматография высокого разрешения в сочетании либо с масс-спектрометрическим определением, либо с фотолизом и колориметрическим количественным определением. В последнем методе применяются новейшие технологии, обеспечивающие максимальную точность определения NDELA, позволяющие минимизировать риск искусственного образования NDELA в анализируемой продукции и провести точное количественное определение.
Метод, приведенный в данном стандарте, включает в себя разделение и определения содержания следовых количеств N-нитрозодиэтаноламина (NDELA) в ингредиентах косметической продукции и матрицах косметической продукции при помощи высокоэффективной жидкостной хроматографии в сочетании с пост-колоночным фотолизом и получением производных.
В основу настоящего стандарта положены результаты совместных исследований [2] семи лабораторий, опубликованные в 2006 году. Критерии достоверности приведены в [2].
1 Область применения
Настоящий стандарт устанавливает метод обнаружения и определения содержания N-нитрозодиэтаноламина (NDELA) в косметической продукции и сырье для ее изготовления, с применением высокоэффективной жидкостной хроматографии (HPLC) с пост-колоночным фотолизом и получением производных.
Данный метод не применяется для обнаружения и/или определения содержания других нитрозаминов, а также для обнаружения и/или определения содержания NDELA в продукции, не являющейся косметической продукцией или сырьем для ее изготовления.
Данный метод применяется для анализа косметической продукции в том случае, если загрязнение продукции NDELA возможно посредством ингредиентов, либо образование NDELA возможно в результате смешения ингредиентов, метод является альтернативой методу, изложенному в [1].
Данный метод не применяется к матрицам, содержащим окислительные красители.
2 Сущность метода
Присутствие NDELA может быть подтверждено повторением анализа без стадии фотолиза (при этом не образуется нитрит-ион, поскольку не происходит разрыв N-нитрозной связи). Отсутствие хроматографического пика при времени удерживания, соответствующем NDELA на хроматограмме, подтверждает, что пик, наблюдаемый при первом анализе, соответствует NDELA.
3 Реактивы
3.1 Метанол, пригодный для HPLC анализа.
3.2 Вода, пригодная для HPLC анализа.
3.3 Дихлорметан, пригодный для HPLC анализа.
3.4 N-Нитрозодиэтаноламин, известной степени чистоты, превышающей 95%. CAS No [116-57-7].
3.5 Ортофосфорная кислота, 85%, аналитической степени чистоты.
3.6 Ацетат аммония, аналитической степени чистоты.
3.9 N-(1-Нафтил) этилендиамин дигидрохлорид, известной степени чистоты, превышающей 98%. CAS No. [1465-25-4].
Данный реактив должен храниться в герметично укупоренной упаковке в защищенном от света месте.
3.10 Сульфаниламид, известной степени чистоты, превышающей 99%. CAS No. [63-74-1].
3.11 Реактив Грисса
Смесь пригодна к использованию в течение пяти дней после приготовления и должна оставаться бесцветной при хранении при температуре от 2°C до 8°C.
4 Аппаратура
Используются стандартные лабораторные стеклянная посуда и оборудование, а также:
________________
4.4 Смесительный тройник с малым мертвым объемом.
________________
4.6 Центрифуга, способная развивать ускорение не менее 20000 g с программируемым температурным режимом.
________________
4.8 Аппаратура для жидкостной хроматографии высокого разрешения, включающая: демпфер пульсирующий, емкость для элюента, насос, систему ввода пробы, систему обработки данных, т.е. интегратор, соединенный с детектором излучения УФ/видимого диапазона, оснащенным вольфрамовой лампой с чувствительностью 0,001 AUFS или 0,0005 AUFS (absorbance units full scan - оптических единиц полного сканирования).
4.9 Насос для подачи реактива Грисса: насос низкого давления без пульсации, также допускается использовать второй насос жидкостного хроматографа (LC) с такими же характеристиками, как у указанного ранее.
________________
________________
Хроматографическая колонка
- длина: | 150 мм | |
- внутренний диаметр: | 4,6 мм | |
- размер частиц: | 5 мкм |
Предколонка
- длина: | 10 мм | |
- внутренний диаметр: | 4,6 мм | |
- размер частиц: | 5 мкм |
4.13 Конфигурация пост-колоночной системы реактора (см. приложение C)
Соединительные трубки, установленные после клапана ввода пробы, должны быть настолько короткими, насколько это возможно.
5 Приготовление и хранение проб
5.1 Общие положения
ПРЕДУПРЕЖДЕНИЕ - Большинство N-нитрозаминов являются потенциальными канцерогенами, необходимо предпринять все возможные меры предосторожности во избежание воздействия их на человека.
Все операции, связанные с использованием N-нитрозаминов или их растворов, должны выполняться в хорошо вентилируемом вытяжном шкафу или ламинарном боксе.
Часто применяемые резиновые хирургические перчатки не обеспечивают достаточной защиты. Их необходимо снимать и выбрасывать сразу же после использования, а не носить в течение длительного периода времени.
Любые растворы, содержащие N-нитрозамины, должны удаляться безопасным способом.
Ультрафиолетовое (УФ) излучение разлагает N-нитрозамины, поэтому растворы N-нитрозодиэтаноламина и другие растворы N-нитрозаминов (стандартные растворы/экстракты) хранят в защищенном от света месте при температуре от 2°C до 8°C.
Ввод анализируемой пробы должен осуществляться не позднее 24 ч после приготовления экстракта пробы.
5.2 Приготовление градуировочных растворов
5.2.1 Основной градуировочный раствор
5.2.3 Рабочие растворы
Примеры типичных хроматограмм приведены на рисунках A.3 и A.4.
Таблица 1 - Приготовление рабочих растворов
Рабочие растворы | Объем градуиро- вочного раствора ( ) | Оконча- тельный объем | Оконча- тельная концент- рация | Период стабиль- ности | Условия хранения |
Рабочий градуировочный раствор | 100 мм | 10 см | 1 нг/см | 1 сут | Хранить в защищенном от света месте |
Рабочий градуировочный раствор | 200 мм | 10 см | 2 нг/см | 1 сут | Хранить в защищенном от света месте |
Рабочий градуировочный раствор | 500 мм | 10 см | 5 нг/см | 1 сут | Хранить в защищенном от света месте |
Рабочий градуировочный раствор | 1 см | 10 см | 10 нг/см | 1 сут | Хранить в защищенном от света месте |
Рабочий градуировочный раствор | 2 см | 10 см | 20 нг/см | 1 сут | Хранить в защищенном от света месте |
5.3 Приготовление пробы
5.3.1 Общие положения
Если косметическая продукция диспергируется (растворяется) в воде, извлечение NDELA необходимо проводить при помощи твердофазной экстракции (ТФЭ) (см. 5.3.2).
Если косметическая продукция не диспергируется в воде, для извлечения используют дихлорметан (ДХМ) (см. 5.3.3).
Способность к диспергированию конкретной косметической продукции должна оцениваться при использовании соответствующего извлекающего агента. Извлечение NDELA из одной и той же продукции не допускается проводить при помощи ТФЭ и ДХМ одновременно; извлекающий агент должен выбираться исходя из его способности обеспечивать диспергирование. Продукция, которая не диспергируется в воде, должна подвергаться извлечению с использованием ДХМ.
5.3.2 Твердофазная экстракция (ТФЭ)
Фильтруют собранный раствор через соответствующий фильтр (при необходимости).
6 Проведение испытания
6.1 Общие положения
Для приготовленных проб обоих типов анализируют полученный экстракт на наличие NDELA методом HPLC с применением УФ-фотолиза и реакции Грисса.
6.2 Условия проведения хроматографии
Насос LC | Насос, оснащенный демпфером пульсаций |
Разделительная колонка | См. 4.12 |
Предколонка | См. 4.12 |
Объем вводимой пробы | 50 мм или 100 мм |
Подвижная фаза | Раствор ацетата аммония концентрацией 0,02 моль/дм (3.8) |
Расход подвижной фазы | 0,5 см /мин |
Расход реактива Грисса | 0,5 см /мин |
Температура пост-колоночного реактора | 50°C |
Термостат колонок | 30°C |
Длина волны | 540 нм |
Модуль фотолиза | См. 4.10 |
Подача реактива Грисса | См. 4.9 |
Пост-колоночный реактор | См. 4.11 |
Детектор | См. 4.8 |
6.3 Устройство реакционной системы
Реакционная система состоит из четырех индивидуальных частей:
a) хроматографическая система;
b) реактор пост-колоночного фотолиза;
c) химический реактор;
d) детектор (см. Приложение C).
ВАЖНО - Время работы хроматографа должно быть продлено не менее чем на 15 мин после появления пика NDELA, чтобы позволить элюирование потенциальных ингредиентов матрицы.
Общая хроматографическая и пост-колоночная система после использования должна промываться водой. Если система не будет использоваться в течение более двух дней, то перед промывкой водой колонку промывают метанолом. При повторном запуске системы ее необходимо промыть водой, чтобы избежать вторичной кристаллизации.
7 Обработка результатов
7.1 Калибровочная кривая
Строят калибровочную кривую, нанося на график концентрацию градуировочных растворов NDELA (см. 5.2.3) относительно их площади пика.
В случае количественного определения по калибровочной кривой коэффициент корреляции должен составлять не менее 0,990.
7.2 Условия эксперимента, обуславливающие достоверность измерений
См. [2].
7.3 Вычисление концентрации
Для определения концентрации NDELA в пробе применяют метод внешнего стандарта.
где a - наклон линии регрессии;
b - отрезок, отсекаемый на оси Y;
y - это площадь пика NDELA на хроматограмме, полученной для анализируемого экстракта пробы.
Массовую долю NDELA в испытуемой косметической продукции, w, выраженную в нг/г, вычисляют следующим образом:
b - отрезок, отсекаемый на оси Y;
a - наклон калибровочной кривой;
m - масса пробы косметической продукции, г;
V - | 20 см - для ТФЭ (твердофазной экстракции), 4 см - для ДХМ (дихлорметана); |
w - массовая доля NDELA в испытуемой косметической продукции, нг/г.
8 Протокол испытания
Протокол испытания должен содержать следующую информацию:
a) ссылку на настоящий стандарт;
b) идентификационные данные испытуемой продукции;
c) дату и метод отбора проб (если эта информация известна);
d) дату получения пробы лабораторией;
e) дату проведения испытания;
f) результаты испытания и единицы, в которых выражены эти результаты;
g) метод извлечения;
h) любые особенности, наблюдаемые при испытании;
i) все действия, не предусмотренные методом, или действия, которые могли повлиять на результат.
Приложение А
(справочное)
Примеры калибровочных кривых и типичных хроматограмм
![]() |
Ось Y - площадь пика NDELA
![]() |
Ось Y - площадь пика NDELA
![]() |
X - время анализа, мин;
![]() |
X - время анализа, мин;
![]() |
Рисунок A.5 - Примеры трех типичных хроматограм
Приложение B
(справочное)
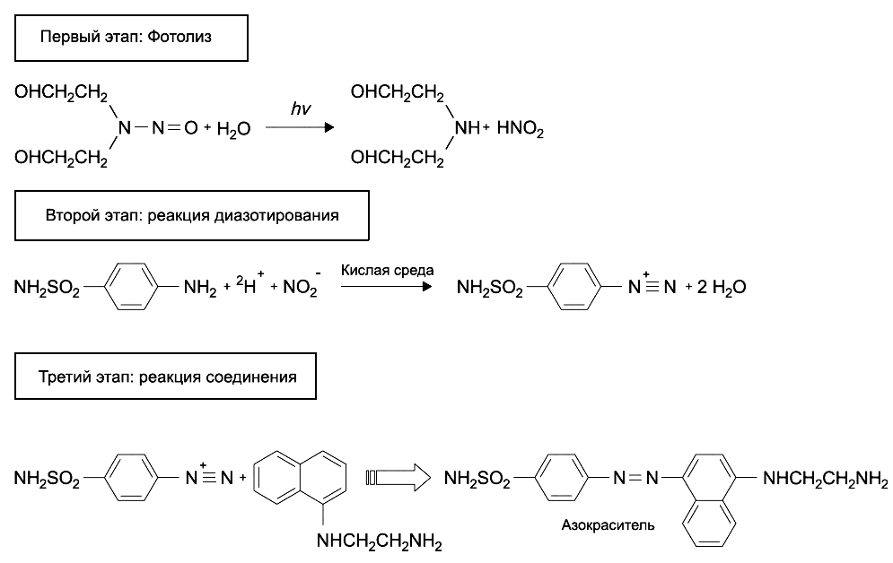
Фотолиз и реакция нитрита с реактивом Грисса, с образованием азокрасителя
![]() |
Рисунок B.1 - Фотолиз и химическая реакция
Приложение C
(справочное)
Конфигурация хроматографической системы с пост-колоночным редактором
![]() |
1 - фотохимический реактор: 254 нм (см. 4.10);
2 - смесительный тройник с малым мертвым объемом (см. 4.4);
3 - насос подачи реактива Грисса (см. 4.9);
4 - реакционный модуль или термостат при 50°C (см. 4.11);
5 - детектор (вольфрамовая лампа): 540 нм (см. 4.8);
6 - клапан отбора пробы;
7 - насос (HPLC);
8 - отходы
Рисунок C.1 - Конфигурация системы хроматографии и пост-колоночного модуля для определения NDELA в косметической продукции
Библиография
[1] | ISO 15819 Cosmetics - Analytical methods - Nitrosamines: Detection and determination of N-nitrosodiethanolamine (NDELA) in cosmetics by HPLC-MS-MS (Косметические средства. Аналитические методы. Нитрозамины: Обнаружение и определение N-нитрозодиэтаноламина (NDELA) в косметике методом HPLC-MS-MS) |
[2] | A method for the determination of N-Nitrosodiethanolamine in personal care products: Collaboratively evaluated be the CTPA Nitrosamines Working Group, International Journal of Cosmetic Science, 28, 2006. pp.21-33 (Метод определения N-нитрозодиэтаноламина в средствах личной гигиены: Совместная разработка Рабочей группы CTPA по нитрозаминам) |
[3] | ENGELHARDT, H., NEUE, U.D. Reaction detector with three dimensional coiled open tubes in HPLC. Chromatographia, 1982, 15, pp.403-408 (Реакционный детектор с открытыми трубками с трехмерной спиральной структурой в ВЭЖХ) |
УДК 665.58.014:543.544.5.068.7(083.74)(476) | МКС 71.100.70 | IDT |
Ключевые слова: парфюмерно-косметическая продукция, N-нитрозамины, N-нитрозодиэтаноламин, хроматография, масс-спектроскопия | ||






