ГОСТ Р 71377-2024
НАЦИОНАЛЬНЫЙ СТАНДАРТ РОССИЙСКОЙ ФЕДЕРАЦИИ
МОДУЛИ ИНТЕГРАЛЬНЫЕ СВЕРХВЫСОКОЧАСТОТНОГО ДИАПАЗОНА
Методы измерения параметров сосредоточенных пассивных реактивных элементов в диапазоне частот от 1 до 10 ГГц
Microwave integrated modules. Methods for measuring the parameters of concentrated passive reactive elements in the frequency range from 1 to 10 GHz
ОКС 29.100.10
Дата введения 2025-03-01
Предисловие
1 РАЗРАБОТАН Акционерным обществом "Российский научно-исследовательский институт "Электронстандарт" (АО "РНИИ "Электронстандарт")
2 ВНЕСЕН Техническим комитетом по стандартизации ТК 303 "Электронная компонентная база, материалы и оборудование"
3 УТВЕРЖДЕН И ВВЕДЕН В ДЕЙСТВИЕ Приказом Федерального агентства по техническому регулированию и метрологии от 13 мая 2024 г. № 593-ст
4 ВВЕДЕН ВПЕРВЫЕ
Правила применения настоящего стандарта установлены в статье 26 Федерального закона от 29 июня 2015 г. № 162-ФЗ "О стандартизации в Российской Федерации". Информация об изменениях к настоящему стандарту публикуется в ежегодном (по состоянию на 1 января текущего года) информационном указателе "Национальные стандарты", а официальный текст изменений и поправок - в ежемесячном информационном указателе "Национальные стандарты". В случае пересмотра (замены) или отмены настоящего стандарта соответствующее уведомление будет опубликовано в ближайшем выпуске ежемесячного информационного указателя "Национальные стандарты". Соответствующая информация, уведомление и тексты размещаются также в информационной системе общего пользования - на официальном сайте Федерального агентства по техническому регулированию и метрологии в сети Интернет (www.rst.gov.ru)
1 Область применения
Настоящий стандарт распространяется на интегральные узлы модулей сверхвысокочастотного диапазона (СВЧ), сосредоточенные пассивные реактивные элементы которых имеют максимальный геометрический размер (длину, высоту или ширину), удовлетворяющий соотношению:
Стандарт устанавливает метод измерения следующих параметров сосредоточенных пассивных реактивных элементов:
- емкостей в пределах от 25 до 2,5 пФ на частоте измерения 1 ГГц и от 2,5 до 0,25 пФ на частоте измерения 10 ГГц;
- индуктивностей в пределах от 10 до 1 нГн на частоте измерения 1 ГГц и от 1 до 0,1 нГн на частоте измерения 10 ГГц;
- добротностей от 10 до 180.
Пределы измерения реактивных элементов в промежуточных точках диапазона частот находят путем интегрирования.
Общие требования при измерении и требования безопасности - по ГОСТ 20271.1.
2 Нормативные ссылки
В настоящем стандарте использованы нормативные ссылки на следующие стандарты:
ГОСТ 20271.1 Изделия электронные СВЧ. Методы измерения электрических параметров
ГОСТ 23221 Модули СВЧ, блоки СВЧ. Термины, определения и буквенные обозначения
ГОСТ 23769 Приборы электронные и устройства защитные СВЧ. Термины, определения и буквенные обозначения
Примечание - При пользовании настоящим стандартом целесообразно проверить действие ссылочных стандартов в информационной системе общего пользования - на официальном сайте Федерального агентства по техническому регулированию и метрологии в сети Интернет или по ежегодному информационному указателю "Национальные стандарты", который опубликован по состоянию на 1 января текущего года, и по выпускам ежемесячного информационного указателя "Национальные стандарты" за текущий год. Если заменен ссылочный стандарт, на который дана недатированная ссылка, то рекомендуется использовать действующую версию этого стандарта с учетом всех внесенных в данную версию изменений. Если заменен ссылочный стандарт, на который дана датированная ссылка, то рекомендуется использовать версию этого стандарта с указанным выше годом утверждения (принятия). Если после утверждения настоящего стандарта в ссылочный стандарт, на который дана датированная ссылка, внесено изменение, затрагивающее положение, на которое дана ссылка, то это положение рекомендуется применять без учета данного изменения. Если ссылочный стандарт отменен без замены, то положение, в котором дана ссылка на него, рекомендуется применять в части, не затрагивающей эту ссылку.
3 Термины и определения
В настоящем стандарте применены термины по ГОСТ 23221, ГОСТ 23769.
4 Принцип и условия измерений
Метод измерения параметров сосредоточенных пассивных реактивных элементов основан на измерении частоты и полосы частот резонатора при подключении в центр его реактивного элемента.
5 Аппаратура
5.1 Для проведения измерения необходимы:
- панорамный измеритель коэффициента стоячей волны по напряжению (КСВН);
- два резонатора, представляющие собой отрезки симметричной полосковой линии, развязанных от передающих трактов с помощью щелей, соответствующих выбранной частоте измерения: резонатора с реактивным элементом и резонатора без реактивного элемента;
- отрезок симметричной полосковой линии, имеющей щель в центральном полоске.
Структурная схема установки приведена в техническом описании на панорамный измеритель КСВН.
5.2 Требования к резонатору:
- коэффициент передачи резонатора (вместе с развязывающими щелями) должен находиться в интервале от минус 20 до минус 30 дБ;
- собственная добротность резонатора должна быть не менее 300;
- ширина развязывающих щелей должна быть такой, чтобы затухание, вызванное щелью, находилось в интервале от минус 20 до минус 28 дБ;
- устройство для установки резонатора должно иметь в диапазоне частот измерения коэффициент стоячей волны не более 1,1.
6 Подготовка и проведение измерений
6.1 Подготавливают панорамный измеритель КСВН согласно инструкции по эксплуатации на него.
6.2 Включают в СВЧ-тракт между ответвителем "Падающая" и ответвителем "Затухание" панорамного измерителя КСВН отрезок симметричной полосковой линии, имеющей щель в центральном полоске.
6.3 Измеряют зависимость изменения затухания щели от ширины щели. Измерения проводят от значения затухания щели 20 дБ до значения 28 дБ и наносят на график.
6.4 Включают в СВЧ-тракт резонатор с реактивным элементом. Размеры развязывающих щелей должны соответствовать затуханию 28 дБ.
6.5 Уменьшают размеры развязывающих щелей до тех пор, пока коэффициент передачи резонатора станет равным минус 20 - минус 23 дБ. По графику, полученному согласно 6.3, определяют затухание, вызванное развязывающей щелью, и рассчитывают коэффициент связи по формуле
6.6 Измеряют резонансную частоту и полосу резонатора по уровню половинной мощности.
6.7 Заменяют в СВЧ-тракте резонатор с реактивным элементом на резонатор без реактивного элемента.
6.8 Устанавливают размеры развязывающих щелей резонатора без реактивного элемента, равные размерам развязывающих щелей, установленным при включении резонатора с реактивным элементом.
6.9 Измеряют резонансную частоту резонатора без реактивного элемента и его полосу по уровню половинной мощности. Если частота резонатора без реактивного элемента ниже, чем частота резонатора с реактивным элементом, то элемент является емкостным, а если выше - индуктивным.
7 Обработка результатов измерений
7.1 Расчет эквивалентных емкости и индуктивности реактивного элемента проводят по формуле
где n - номер гармоники, на которой проводят измерение n=2m+1, где m=0, 1, 2 ...;
Расчет индуктивности и емкости реактивных элементов, установка которых в резонатор проводится с помощью монтажных проводников, приведен в приложении А.
7.2 Добротность реактивных элементов, представляющих собой емкость, рассчитывают по формуле

Добротность резонатора без реактивного элемента рассчитывают по формуле
Добротность резонатора с реактивным элементом рассчитывают по формуле
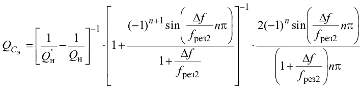
7.3 Добротность реактивных элементов, представляющих собой индуктивность, рассчитывают по формуле

8 Погрешности измерений
8.1 Относительная погрешность измерения емкости (индуктивности) находится в пределах ±19% с вероятностью 0,997.
Приложение А
(обязательное)
Типы реактивных элементов
А.1 Реактивные элементы подразделяют:
- на реактивный элемент, установку которого в резонатор проводят с помощью монтажного проводника - элемент "А";
- реактивный элемент, установка которого в резонатор не требует монтажного проводника (например, конденсатор типа К10-9) - элемент "Б".
![]() | ![]()
|
а) Монтаж реактивного элемента типа А в полосковый резонатор | б) Монтаж реактивного элемента типа Б в полосковый резонатор |
Рисунок А.1
Для реактивных элементов типа А ширина центральной щели находится в пределах от 100 до 200 мкм.
Для реактивных элементов типа Б ширина центральной щели примерно равна длине этого реактивного элемента.
Для реактивных элементов в конструктивном исполнении "А" эквивалентная индуктивность и емкость представляет собой эквивалентные параметры цепочки, состоящей из последовательного соединения собственно реактивного элемента и монтажного проводника.
А.2 При необходимости определения индуктивности и емкости реактивных элементов с исключением влияния на их величину монтажного проводника проводят дополнительные расчеты.
При условии, что импеданс щели много меньше импеданса реактивного элемента, импеданс реактивного элемента можно представить в виде:
Если реактивный элемент представляет собой индуктивность:
Если реактивный элемент представляет собой емкость:
Импеданс монтажного проводника вычисляют по формуле
Исходя из экспериментальных данных по формулам (3) и (4) рассчитывают импеданс реактивного элемента.
Для определения индуктивности и добротности монтажного проводника отсоединяют монтажный проводник от реактивного элемента и присоединяют к полоску рядом с реактивным элементом, после чего измеряют резонансную частоту и полосу резонатора.
Далее по формулам (4) и (8) рассчитывают соответственно величину индуктивности и добротности монтажного проводника и по формуле (А.5) его импеданс. Затем с помощью уравнений (А.1), (А.3), (А.4) определяют величину емкости или индуктивности реактивного элемента.
Рассчитывают емкость щели по формуле
Импеданс щели вычисляют по формуле
С учетом импеданса щели уравнение (А.1) принимает вид:
Добротность реактивного элемента в конструктивном исполнении "А", представляющего собой емкость, определяют по формуле
В случае, если измеряемый элемент является индуктивным, его добротность вычисляют по формуле
УДК 621.3.049.75.029.64-181.4.621.317.3:006.354 | ОКС 29.100.10 |
Ключевые слова: модули сверхвысокочастотного диапазона интегральные, узлы модулей, пассивные реактивные элементы, диапазон частот, методы измерения параметров | |

