allgosts.ru73.080 Нерудные минералы73 ГОРНОЕ ДЕЛО И ПОЛЕЗНЫЕ ИСКОПАЕМЫЕ

ГОСТ 19609.1-89 Каолин обогащенный. Методы определения оксида железа (III)

Обозначение:
ГОСТ 19609.1-89
Наименование:
Каолин обогащенный. Методы определения оксида железа (III)
Статус:
Действует
Дата введения:
01.01.1991
Дата отмены:
-
Заменен на:
-
Код ОКС:
73.080

Текст ГОСТ 19609.1-89 Каолин обогащенный. Методы определения оксида железа (III)


ГОСТ 19609.1-89

Группа A59

ГОСУДАРСТВЕННЫЙ СТАНДАРТ СОЮ3А ССР

КАОЛИН ОБОГАЩЕННЫЙ

Методы определения оксида железа (III)

Concentrated kaolin.
Methods for determination of ferric oxide (III)

ОКСТУ 5709

Срок действия с 01.01.91
до 01.01.96*
______________________________
* Ограничение срока действия снято
по протоколу N 5-94 Межгосударственного
Совета по стандартизации, метрологии
и сертификации (ИУС N 11-12, 1994 год).
- Примечание "КОДЕКС".

ИНФОРМАЦИОННЫЕ ДАННЫЕ

1. РАЗРАБОТАН И ВНЕСЕН Министерством промышленности строительных материалов СССР

ИСПОЛНИТЕЛИ

И.В.Суравенков, Л.А.Харланчева (руководитель темы)

2. УТВЕРЖДЕН И ВВЕДЕН В ДЕЙСТВИЕ Постановлением Государственного комитета СССР по стандартам от 15.03.89 N 485

3. ВЗАМЕН ГОСТ 19609.1-79

4. ССЫЛОЧНЫЕ НОРМАТИВНО-ТЕХНИЧЕСКИЕ ДОКУМЕНТЫ

Обозначение НТД, на который дана ссылка

Номер раздела, пункта, подпункта

ГОСТ 199-78

2.2

ГОСТ 3118-77

2.2, 4.2

ГОСТ 3760-79

2.2, 3.2, 4.2

ГОСТ 4199-76

2.2

ГОСТ 4332-76

2.2

ГОСТ 4461-77

2.2

ГОСТ 4478-78

3.2, 4.2

ГОСТ 6563-75

2.2

ГОСТ 10652-73

4.2

ГОСТ 12083-78

2.2

ГОСТ 19609.0-89

2.3.1

ГОСТ 24104-80*

1, 3.3.1

2.2

_______________
* На территории РФ действует ГОСТ 24104-2001, здесь и далее по тексту. - Примечание "КОДЕКС".

Настоящий стандарт распространяется на обогащенный каолин и устанавливает фотометрический и комплексонометрический методы определения оксида железа (III).

1. ОБЩИЕ ТРЕБОВАНИЯ

Общие требования к методам определения оксида железа (III) - по ГОСТ 19609.0.

2. ФОТОМЕТРИЧЕСКИЙ МЕТОД ОПРЕДЕЛЕНИЯ ОКСИДА ЖЕЛЕЗА
С ИНДИКАТОРОМ О-ФЕНАНТРОЛИНОМ
(ПРИ МАССОВОЙ ДОЛЕ ОКСИДА ЖЕЛЕЗА ДО 2%)

2.1. Сущность метода

Метод основан на образовании окрашенного комплексного соединения двухвалентного железа с о-фенантролином. Трехвалентное железо предварительно восстанавливают аскорбиновой кислотой.

2.2. Аппаратура, реактивы и растворы

Электропечь сопротивления камерная, обеспечивающая нагрев до 1100 °С.

Весы лабораторные 2-го класса точности с погрешностью взвешивания не более 0,0005 г по ГОСТ 24104.

Тигли платиновые с крышками по ГОСТ 6563.

Фотоэлектроколориметр по ГОСТ 12083.

Калий-натрий углекислый по ГОСТ 4332.

Натрий тетраборнокислый по ГОСТ 4199.

Смесь для сплавления, приготовленная тщательным растиранием четырех частей калия-натрия углекислого и одной части натрия тетраборнокислого.

Кислота соляная по ГОСТ 3118, растворы 1:1 и 0,1 моль/дм.

Кислота азотная по ГОСТ 4461.

Кислота аскорбиновая, раствор концентрации 10 г/дм.

Натрий уксуснокислый по ГОСТ 199-78, раствор концентрации 70 г/дм.

О-фенантролин, раствор концентрации 2,5 г/дм в 0,1 моль/дм растворе соляной кислоты.

Железа оксид (III).

Стандартные растворы железа оксида (III):

раствор А: 2 г оксида железа (III), высушенного при 105-110 °С, помещают в колбу вместимостью 250 см, приливают 100 см разбавленной 1:1 соляной кислоты, нагревают на водяной бане до полного растворения, охлаждают, количественно переносят в мерную колбу вместимостью 1 дм, доливают до метки водой и перемешивают. 1 см раствора А содержит 2 мг оксида железа (III);

раствор Б: отбирают пипеткой 10 см раствора А в мерную колбу вместимостью 1 дм, доливают до метки водой и перемешивают. 1 см раствора Б содержит 0,02 мг оксида железа

(III).

2.3. Подготовка к анализу

2.3.1. Построение градуировочного графика

В мерные колбы вместимостью по 100 см отмеряют бюреткой 0,0; 1,0; 2,0; 3,0; 4,0; 5,0; 6,0; 8,0; 10,0; 12,0 и 15,0 см стандартного раствора Б, доливают раствором контрольного опыта до 25 см, приливают по 2 см раствора аскорбиновой кислоты, по 5 см о-фенантролина, доливают до метки раствором уксуснокислого натрия и перемешивают.

Через 30 мин измеряют оптическую плотность раствора на фотоэлектроколориметре, применяя синий светофильтр с областью светопропускания 400-500 нм в кювете с оптимальной толщиной поглощающего свет слоя раствора 10 мм.

В качестве раствора сравнения применяют раствор, не содержащий оксида железа.

Градуировочный график строят по п.11 ГОСТ 19609.0.

2.4. Проведение анализа

2.4.1. Навеску каолина массой 0,2 г помещают в платиновый тигель, прибавляют 2,0-2,5 г смеси для сплавления, тщательно перемешивают и сплавляют при 850-1000 °С в течение 10-15 мин. Плав растворяют в 60 см разбавленной 1:1 соляной кислоте и добавляют 1 см азотной кислоты. Раствор кипятят в течение 5 мин, охлаждают и количественно переносят в мерную колбу вместимостью 250 см. Раствор доливают до метки водой (основной раствор).

От основного раствора отбирают аликвотную часть 25 см в мерную колбу вместимостью 100 см при ожидаемой массовой доле оксида железа (III) менее 1%.

При массовой доле оксида железа (III) свыше 1% аликвотная часть уменьшается до 10 см, но в этом случае необходимо доливать раствором контрольного опыта до объема 25 см. Затем приливают 2 см аскорбиновой кислоты и 5 см о-фенантролина. Доливают раствором уксуснокислого натрия до метки и перемешивают.

Далее измеряют оптическую плотность раствора, как указано в п.2.3.1.

По величине оптической плотности и по градуировочному графику определяют массу оксида железа (III) в миллиграмм

ах.

2.5. Обработка результатов

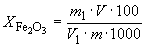
2.5.1. Массовую долю оксида железа (III) () в процентах вычисляют по формуле

,

где - масса оксида железа (III), найденная по градуировочному графику, мг

- объем основного раствора, см;

- объем аликвотной части основного раствора, см;

- масса навески каолина, г.

2.5.2. Допускаемое расхождение между результатами параллельных определений не должно превышать 0,05% при массовой доле оксида железа (III) до 1,00% и 0,10% - при массовой доле свыше 1,00%.

3. ФОТОКОЛОРИМЕТРИЧЕСКИЙ МЕТОД ОПРЕДЕЛЕНИЯ ОКСИДА ЖЕЛЕЗА (III)
С СУЛЬФОСАЛИЦИЛОВОЙ КИСЛОТОЙ
(ПРИ МАССОВОЙ ДОЛЕ ОКСИДА ЖЕЛЕЗА (III) ДО 2%)

3.1. Сущность метода

Метод основан на образовании в аммиачной среде окрашенного комплекса трисульфосалицилата железа при использовании сульфосалициловой кислоты в качестве комплексообразователя.

3.2. Реактивы и растворы

Кислота сульфосалициловая по ГОСТ 4478, раствор концентрации 300 г/дм.

Аммиак водный по ГОСТ 3760.

Стандартный раствор Б оксида железа (III), приготовленный по п.2.2.

Основной раствор, приготовленный по п.2.4.1.

3.3. Подготовка к анализу

3.3.1. Построение градуировочного графика

В мерные колбы вместимостью по 100 см отмеряют бюреткой 0,0; 1,0; 2,0; 3,0; 4,0;. 5,0; 6,0; 7,0; 8,0; 10,0, 12,0 и 15,0 см стандартного раствора Б. В каждую колбу приливают по 10 см раствора сульфосалициловой кислоты, аммиак до появления устойчивой желтой окраски раствора и 5 см в избыток. Раствор охлаждают, доливают до метки водой, перемешивают и в случае образования осадка фильтруют через сухой фильтр "красная лента", отбрасывая первые порции фильтрата.

Оптическую плотность растворов измеряют на фотоэлектроколориметре, применяя синий светофильтр с областью светопропускания 400-450 нм в кювете с оптимальной толщиной поглощающего свет слоя раствора 20-30 мм.

В качестве раствора сравнения применяют раствор, не содержащий оксида железа (III).

Градуировочный график строят по п.11 ГОСТ 19609.0.

3.4. Проведение анализа

3.4.1. От основного раствора отбирают аликвотную часть 10-25 см в мерную колбу вместимостью 100 см, приливают 10 см сульфосалициловой кислоты, аммиак до появления устойчивой желтой окраски раствора и 5 см в избыток. Раствор охлаждают, доливают водой до метки, перемешивают и в случае образования осадка фильтруют через сухой фильтр "красная лента", отбрасывая первые порции фильтрата.

Далее измеряют оптическую плотность раствора, как указано в п.3.3.1.

По величине оптической плотности по градуировочному графику определяют массу оксида железа (III) в миллиграммах.

3.5. Обработка результатов

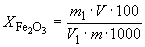
3.5.1. Массовую долю оксида железа (III) () в процентах вычисляют по формуле

,

где - масса оксида железа (III), найденная по градуировочному графику, мг;

- объем основного раствора, см;

- объем аликвотной части основного раствора, см;

- масса навески каолина, г.

3.5.2. Допускаемое расхождение между результатами параллельных определений не должно превышать 0,05% при массовой доле оксида железа (III) до 1,00% и 0,10% - при массовой доле свыше 1,00%.

4. КОМПЛЕКСОНОМЕТРИЧЕСКИЙ МЕТОД

4.1. Сущность метода

Метод основан на образовании бесцветного комплекса трилона Б с ионами железа при рН 1 в присутствии сульфосалициловой кислоты в качестве индикатора.

4.2. Реактивы и растворы

Кислота соляная по ГОСТ 3118, раствор концентрации 1 моль/дм.

Кислота сульфосалициловая по ГОСТ 4478, раствор концентрации 100 г/дм.

Аммиак водный по ГОСТ 3760, разбавленный 1:1.

Стандартный раствор А оксида железа (III), содержащий в 1 см 2 мг оксида железа (III), приготовленный по п.2.2.

Соль динатриевая этилендиамин-N,N,N',N'-тетрауксусной кислоты, 2-водная (трилон Б) по ГОСТ 10652-73, раствор концентрации 0,025 моль/дм, приготовленный следующим образом: 9,3 г трилона Б растворяют в воде, раствор фильтруют в мерную колбу вместимостью 1 дм и доливают до метки водой.

Массовую концентрацию трилона Б по оксиду железа (III) устанавливают по стандартному раствору А оксида железа (III). Для этого в три конические колбы вместимостью по 250 см отбирают по 10 см стандартного раствора, приливают по 50 см воды, по 0,3-0,5 см сульфосалициловой кислоты и по каплям разбавленный аммиак до начала изменения окраски раствора из фиолетовой в оранжевую и сразу 5 см 1 моль/дм раствора соляной кислоты. Раствор нагревают до 60-70 °С и титруют раствором трилона Б до исчезновения фиолетового окрашивания.

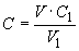
Массовую концентрацию 0,025 моль/дм раствора трилона Б () по оксиду железа (III) в граммах на сантиметр кубический вычисляют по формуле

,

где - объем стандартного раствора оксида железа (III), взятый для титрования, см;

- массовая концентрация раствора оксида железа (III), г/см;

- объем раствора трилона Б, израсходованный на титрование, см.

Допускается применение трилона Б, приготовленного из стандарт-титра, который растворяют в колбе вместимостью 2 дм, доливают до метки водой и перемешивают

.

4.3. Проведение анализа

4.3.1. От основного раствора (п.2.4.1) отбирают аликвотную часть 50 см в колбу вместимостью 250 см. Приливают 0,3-0,5 см раствора сульфосалициловой кислоты и по каплям разбавленный аммиак до начала изменения окраски раствора из фиолетовой в оранжевую, сразу же приливают 5 см 1 моль/дм раствора соляной кислоты.

Раствор нагревают до 60-70 °С и титруют раствором трилона Б до исчезновения фиолетового окрашивания.

4.4. Обработка результатов

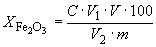
4.4.1. Массовую долю оксида железа (III) () в процентах вычисляют по формуле

,

где - массовая концентрация раствора трилона Б по оксиду железа (III), г/см;

- объем раствора трилона Б, израсходованный на титрование, см;

- объем основного раствора, см;

- объем аликвотной части основного раствора, см;

- масса навески каолина,

г.

4.4.2. Допускаемое расхождение между результатами параллельных определений не должно превышать 0,2%.

Текст документа сверен по:

Каолин обогащенный.

Методы испытаний: Сб. ГОСТов. -

М.: Издательство стандартов, 1989