ГОСТ Р 71919-2024
НАЦИОНАЛЬНЫЙ СТАНДАРТ РОССИЙСКОЙ ФЕДЕРАЦИИ
ТЕРМИСТОРЫ
Метод измерения коэффициента гармоник
Termistors. Method of harmonic coefficient measurement
ОКС 17.080
17.220
31.080
Дата введения 2025-03-01
Предисловие
1 РАЗРАБОТАН Федеральным государственным бюджетным учреждением "Всероссийский научно-исследовательский институт радиоэлектроники" (ФГБУ "ВНИИР")
2 ВНЕСЕН Техническим комитетом по стандартизации ТК 303 "Электронная компонентная база, материалы и оборудование"
3 УТВЕРЖДЕН И ВВЕДЕН В ДЕЙСТВИЕ Приказом Федерального агентства по техническому регулированию и метрологии от 27 декабря 2024 г. № 2041-ст
4 ВВЕДЕН ВПЕРВЫЕ
Правила применения настоящего стандарта установлены в статье 26 Федерального закона от 29 июня 2015 г. № 162-ФЗ "О стандартизации в Российской Федерации". Информация об изменениях к настоящему стандарту публикуется в ежегодном (по состоянию на 1 января текущего года) информационном указателе "Национальные стандарты", а официальный текст изменений и поправок - в ежемесячном информационном указателе "Национальные стандарты". В случае пересмотра (замены) или отмены настоящего стандарта соответствующее уведомление будет опубликовано в ближайшем выпуске ежемесячного информационного указателя "Национальные стандарты". Соответствующая информация, уведомление и тексты размещаются также в информационной системе общего пользования - на официальном сайте Федерального агентства по техническому регулированию и метрологии в сети Интернет (www.rst.gov.ru)
1 Область применения
Настоящий стандарт распространяется на термисторы и устанавливает метод измерения коэффициента гармоник термисторов.
Общие требования при измерении и требования безопасности - по ГОСТ Р 71386.
2 Нормативные ссылки
В настоящем стандарте использованы нормативные ссылки на следующие стандарты:
ГОСТ Р 57436 Приборы полупроводниковые. Термины и определения
ГОСТ Р 71386 Термисторы. Общие требования при измерении параметров
Примечание - При пользовании настоящим стандартом целесообразно проверить действие ссылочных стандартов в информационной системе общего пользования - на официальном сайте Федерального агентства по техническому регулированию и метрологии в сети Интернет или по ежегодному информационному указателю "Национальные стандарты", который опубликован по состоянию на 1 января текущего года, и по выпускам ежемесячного информационного указателя "Национальные стандарты" за текущий год. Если заменен ссылочный стандарт, на который дана недатированная ссылка, то рекомендуется использовать действующую версию этого стандарта с учетом всех внесенных в данную версию изменений. Если заменен ссылочный стандарт, на который дана датированная ссылка, то рекомендуется использовать версию этого стандарта с указанным выше годом утверждения (принятия). Если после утверждения настоящего стандарта в ссылочный стандарт, на который дана датированная ссылка, внесено изменение, затрагивающее положение, на которое дана ссылка, то это положение рекомендуется применять без учета данного изменения. Если ссылочный стандарт отменен без замены, то положение, в котором дана ссылка на него, рекомендуется применять в части, не затрагивающей эту ссылку.
3 Термины и определения
В настоящем стандарте применены термины по ГОСТ Р 57436.
4 Принцип измерения
Принцип измерения основан на измерении отношения среднеквадратического значения напряжения суммы всех гармоник сигнала, кроме первой, и среднеквадратического значения напряжения первой гармоники.
5 Аппаратура
5.1 Измерения проводят на установке, структурная схема которой приведена на рисунке 1.
G - низкочастотный генератор сигналов; RK - термистор; R - измерительный резистор; P - измеритель нелинейных искажений
Рисунок 1 - Схема установки для измерения коэффициента гармоник термисторов
5.2 Низкочастотный генератор сигналов должен удовлетворять следующим требованиям:
- форма сигнала - синусоидальная;
- диапазон частот - от 20 Гц до 200 кГц;
- выходное напряжение - не менее 10 В;
- коэффициент гармоник - не более 0,1%.
5.3 Измеритель нелинейных искажений должен удовлетворять следующим требованиям:
- диапазон измеряемых коэффициентов гармоник - от 0,1% до 30%;
- диапазон частот основной (первой) гармоники исследуемых сигналов - от 20 Гц до 200 кГц;
- относительная погрешность прибора не должна превышать ±0,2%;
- диапазон входных напряжений прибора в режиме измерения коэффициентов гармоник должен быть от 0,1 до 100 В;
- относительная погрешность вольтметра в диапазоне частот от 20 Гц до 100 кГц при синусоидальном входном сигнале не должна превышать ±4%;
- входное сопротивление прибора в режиме измерения коэффициента гармоник на частоте 80 Гц должно быть не менее 100 кОм, в режиме измерения напряжения - не менее 900 кОм.
5.4 Измерительный резистор должен удовлетворять следующим требованиям:
- коэффициент нелинейности не должен быть более 0,05%;
- значение сопротивления измерительного резистора - в соответствии с техническими условиями (ТУ). Отклонение сопротивления от номинального значения не должно превышать 5%.
6 Подготовка и проведение измерений
6.1 Подготавливают генератор сигналов и измеритель нелинейных искажений в соответствии с инструкциями по эксплуатации на указанные приборы.
6.2 Устанавливают на генераторе сигналов частоту, заданную в ТУ.
6.3 Включают испытуемый термистор в измерительную установку и регулятором выхода напряжения генератора сигналов устанавливают через термистор ток, заданный ТУ для конкретного типа термистора.
Контроль величины тока через термистор осуществляют измерением величины падения напряжения на резисторе R вольтметром измерителя нелинейных искажений.
6.4 Производят измерение коэффициента гармоник термистора измерителем нелинейных искажений согласно его инструкции по эксплуатации.
7 Показатели точности измерений
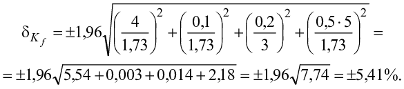
7.1 Относительная погрешность измерения коэффициента гармоник термисторов находится в диапазоне ±5,5% с установленной вероятностью 0,95.
7.2 Расчет относительной погрешности измерения приведен в приложении А.
Приложение А
(справочное)
Расчет относительной погрешности измерения коэффициента гармоник термистора
А.1 Предполагают, что все составляющие погрешности измерения коэффициента гармоник случайные, независимые.

K - коэффициент влияния относительной погрешности установления тока на измеряемый коэффициент гармоник, равный 0,5;

УДК 621.382.3.083:006.354 | ОКС 17.080 |
17.220 | |
31.080 | |
Ключевые слова: термисторы, коэффициенты гармоник | |