ГОСТ Р 71901-2024
НАЦИОНАЛЬНЫЙ СТАНДАРТ РОССИЙСКОЙ ФЕДЕРАЦИИ
ТЕРМИСТОРЫ
Метод измерения температурного коэффициента напряжения
Termistors. Voltage temperature coefficient measurement method
ОКС 17.080
17.220
31.080
Дата введения 2025-03-01
Предисловие
1 РАЗРАБОТАН Федеральным государственным бюджетным учреждением "Всероссийский научно-исследовательский институт радиоэлектроники" (ФГБУ "ВНИИР")
2 ВНЕСЕН Техническим комитетом по стандартизации ТК 303 "Электронная компонентная база, материалы и оборудование"
3 УТВЕРЖДЕН И ВВЕДЕН В ДЕЙСТВИЕ Приказом Федерального агентства по техническому регулированию и метрологии от 23 декабря 2024 г. № 1972-ст
4 ВВЕДЕН ВПЕРВЫЕ
Правила применения настоящего стандарта установлены в статье 26 Федерального закона от 29 июня 2015 г. № 162-ФЗ "О стандартизации в Российской Федерации". Информация об изменениях к настоящему стандарту публикуется в ежегодном (по состоянию на 1 января текущего года) информационном указателе "Национальные стандарты", а официальный текст изменений и поправок - в ежемесячном информационном указателе "Национальные стандарты". В случае пересмотра (замены) или отмены настоящего стандарта соответствующее уведомление будет опубликовано в ближайшем выпуске ежемесячного информационного указателя "Национальные стандарты". Соответствующая информация, уведомление и тексты размещаются также в информационной системе общего пользования - на официальном сайте Федерального агентства по техническому регулированию и метрологии в сети Интернет (www.rst.gov.ru)
1 Область применения
Настоящий стандарт распространяется на термисторы и устанавливает метод измерения температурного коэффициента напряжения термисторов.
Общие требования при измерении и требования безопасности - по ГОСТ Р 71386.
2 Нормативные ссылки
В настоящем стандарте использованы нормативные ссылки на следующие документы:
ГОСТ Р 71386 Термисторы. Общие требования при измерении параметров
ГОСТ Р 71563 Термисторы. Методы измерения мощности и чувствительности в рабочей точке
Примечание - При пользовании настоящим стандартом целесообразно проверить действие ссылочных стандартов в информационной системе общего пользования - на официальном сайте Федерального агентства по техническому регулированию и метрологии в сети Интернет или по ежегодному информационному указателю "Национальные стандарты", который опубликован по состоянию на 1 января текущего года, и по выпускам ежемесячного информационного указателя "Национальные стандарты" за текущий год. Если заменен ссылочный стандарт, на который дана недатированная ссылка, то рекомендуется использовать действующую версию этого стандарта с учетом всех внесенных в данную версию изменений. Если заменен ссылочный стандарт, на который дана датированная ссылка, то рекомендуется использовать версию этого стандарта с указанным выше годом утверждения (принятия). Если после утверждения настоящего стандарта в ссылочный стандарт, на который дана датированная ссылка, внесено изменение, затрагивающее положение, на которое дана ссылка, то это положение рекомендуется применять без учета данного изменения. Если ссылочный стандарт отменен без замены, то положение, в котором дана ссылка на него, рекомендуется применять в части, не затрагивающей эту ссылку.
3 Принцип измерения
Температурный коэффициент напряжения определяют косвенным методом как отношение разности значений напряжения стабилизации к разности температур окружающей среды термистора.
4 Аппаратура
Требования к аппаратуре - по ГОСТ Р 71563.
5 Подготовка и проведение измерений
5.1 Для определения температурного коэффициента напряжения проводят измерение напряжения стабилизации термистора при трех температурах, заданных в технических условиях (ТУ) на термисторы.
5.2 Помещают термистор в термостатирующую камеру, устанавливают заданную в ТУ на термисторы пониженную температуру и выдерживают в течение времени, указанного в ТУ.
5.3 Плавным изменением выходного напряжения источника постоянного тока по миллиамперметру устанавливают ток через термистор, заданный в ТУ на термисторы, и считывают по цифровому вольтметру величину напряжения стабилизации.
5.4 Устанавливают в термостатирующей камере повышенную температуру, выдерживают термистор в течение времени, указанного в ТУ, и проводят измерение напряжения стабилизации по 5.3.
5.5 Устанавливают в термостатирующей камере заданную в ТУ на термисторы нормальную температуру, выдерживают термистор в течение времени, указанного в ТУ, и проводят измерение напряжения стабилизации по 5.3.
6 Обработка результатов измерения
7 Показатели точности измерений
7.1 Погрешность измерения температурного коэффициента напряжения термисторов находится в интервале ±4% с установленной вероятностью 0,95.
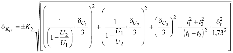
7.2 Расчет относительной погрешности измерения приведен в приложении А.
Приложение А
(справочное)
Расчет погрешности измерения температурного коэффициента напряжения термистора
А.1 Предполагают, что все составляющие погрешности измерения напряжения: случайные, независимые, распределены по нормальному закону, составляющие погрешности измерения температуры - по равномерному закону.
А.2 Относительную погрешность, вносимую нестабильностью источника питания, не учитывают, так как продолжительность измерения незначительна и нестабильность в интервале ±0,2%.


УДК 621.382.3.083:006.354 | ОКС 17.080 |
17.220 | |
31.080 | |
Ключевые слова: термисторы, температурный коэффициент напряжения | |