ГОСТ Р 71899-2024
НАЦИОНАЛЬНЫЙ СТАНДАРТ РОССИЙСКОЙ ФЕДЕРАЦИИ
ТЕРМИСТОРЫ
Метод измерения динамического сопротивления
Thermistors. Methods of measuring dynamic resistance
ОКС 17.080
17.220.20
31.080
Дата введения 2025-03-01
Предисловие
1 РАЗРАБОТАН Федеральным государственным бюджетным учреждением "Всероссийский научно-исследовательский институт радиоэлектроники" (ФГБУ "ВНИИР")
2 ВНЕСЕН Техническим комитетом по стандартизации ТК 303 "Электронная компонентная база, материалы и оборудование"
3 УТВЕРЖДЕН И ВВЕДЕН В ДЕЙСТВИЕ Приказом Федерального агентства по техническому регулированию и метрологии от 23 декабря 2024 г. № 1970-ст
4 ВВЕДЕН ВПЕРВЫЕ
Правила применения настоящего стандарта установлены в статье 26 Федерального закона от 29 июня 2015 г. № 162-ФЗ "О стандартизации в Российской Федерации". Информация об изменениях к настоящему стандарту публикуется в ежегодном (по состоянию на 1 января текущего года) информационном указателе "Национальные стандарты", а официальный текст изменений и поправок - в ежемесячном информационном указателе "Национальные стандарты". В случае пересмотра (замены) или отмены настоящего стандарта соответствующее уведомление будет опубликовано в ближайшем выпуске ежемесячного информационного указателя "Национальные стандарты". Соответствующая информация, уведомление и тексты размещаются также в информационной системе общего пользования - на официальном сайте Федерального агентства по техническому регулированию и метрологии в сети Интернет (www.rst.gov.ru)
1 Область применения
Настоящий стандарт распространяется на термисторы и устанавливает метод измерения динамического сопротивления термисторов.
2 Нормативные ссылки
В настоящем стандарте использованы нормативные ссылки на следующие стандарты:
ГОСТ Р 57436 Приборы полупроводниковые. Термины и определения
ГОСТ Р 71386 Термисторы. Общие требования при измерении параметров
ГОСТ Р 71563 Термисторы. Методы измерения мощности и чувствительности в рабочей точке
Примечание - При пользовании настоящим стандартом целесообразно проверить действие ссылочных стандартов в информационной системе общего пользования - на официальном сайте Федерального агентства по техническому регулированию и метрологии в сети Интернет или по ежегодному информационному указателю "Национальные стандарты", который опубликован по состоянию на 1 января текущего года, и по выпускам ежемесячного информационного указателя "Национальные стандарты" за текущий год. Если заменен ссылочный стандарт, на который дана недатированная ссылка, то рекомендуется использовать действующую версию этого стандарта с учетом всех внесенных в данную версию изменений. Если заменен ссылочный стандарт, на который дана датированная ссылка, то рекомендуется использовать версию этого стандарта с указанным выше годом утверждения (принятия). Если после утверждения настоящего стандарта в ссылочный стандарт, на который дана датированная ссылка, внесено изменение, затрагивающее положение, на которое дана ссылка, то это положение рекомендуется применять без учета данного изменения. Если ссылочный стандарт отменен без замены, то положение, в котором дана ссылка на него, рекомендуется применять в части, не затрагивающей эту ссылку.
3 Термины и определения
В настоящем стандарте применены термины по ГОСТ Р 57436.
4 Общие требования к проведению измерений
Настоящий стандарт устанавливает метод измерения динамического сопротивления термисторов.
Общие требования при измерении и требования безопасности - по ГОСТ Р 71386, требования к аппаратуре - по ГОСТ Р 71563.
Принцип измерения динамического сопротивления в рабочей точке основан на определении динамики изменения сопротивления термистора путем измерения токов через термистор при заданных по техническим условиям (ТУ) значениях сопротивлений термисторов.
5 Подготовка и проведение измерений
5.1 Помещают термистор в термостатирующую камеру и устанавливают в ней температуру, заданную в ТУ на термисторы.
5.3 Подают питание на мост от источника постоянного тока и, плавно регулируя выходное напряжение, производят балансировку моста, что соответствует нулевому показанию микроамперметра.
5.5 Плавной регулировкой выходного напряжения источника питания моста вторично производят балансировку моста.
6 Обработка результатов
7 Показатели точности измерений
7.1 Доверительные границы измерения динамического сопротивления термистора должны находиться в пределах ±10%, с установленной вероятностью 0,95.
7.2 Расчеты неопределенностей измерений приведены в приложении А.
Приложение А
(справочное)
Расчет погрешности измерения динамического сопротивления термисторов
А.1 Полагают, что все составляющие погрешности измерения динамического сопротивления случайные, независимые.
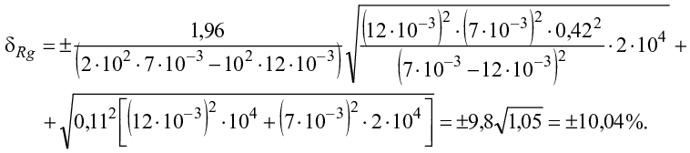
А.2 Погрешность, вносимую нестабильностью источника питания, не учитывают, так как продолжительность измерения незначительна и нестабильность находится в доверительных границах ±0,2%.
А.4 Подставляя указанные выше данные в формулу, погрешность измерения динамического сопротивления имеет следующее значение

УДК 621.382:006.354 | ОКС | 17.080 |
17.220.20 | ||
31.080 | ||
Ключевые слова: термисторы, динамическое сопротивление | ||